Page 22 - Admission Report
P. 22
u
9
al
6
5
s
i
ai
l
0
+
E
1
k
9
.
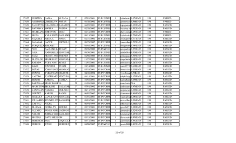
37657 LUISTRO LAIKA ALZAGA F 07/01/2001 BS BUSINESS MANAGEMENTtro669@gmail.com 150 FAILED
0
t
37658 ASISTORES CRISZELYN NOTAR F 04/29/2002 BS BUSINESS MANAGEMENTcriszelyn23@gmail.com150 FAILED
5
9
o
i
.
+
1
as
E
s
0
8
6
9
res
6
1
t
.
37659 PAGUINTO ARANDELLE NAZARENO M 04/07/2001 BS INFORMATION TECHNOLOGYarendell@gmail.com150 PASSED
o
s
p
+
2
0
i
u
9
1
9
E
n
ag
t
b
+
0
5
ay
5
9
3
E
ay
ab
.
9
1
37660 BAYABAY SOPHIA PADIDA F 02/28/2002 BS BUSINESS MANAGEMENT.sophia28@gmail.com150 PASSED
1
9
rh
1
ey
en
+
mab
9
1
150
5
v
0
37661 MABILANGANRHEYVEN DIGO M 02/12/2002 BS INFORMATION TECHNOLOGYlangan12@gmail.com FAILED
i
.
E
37662 MATA KYLA RIZZLEGALLANO F 08/11/2001 BS BUSINESS MANAGEMENTe@gmail.com 150 FAILED
zzl
ari
0
9
+
7
E
.
y
l
k
2
4
1
9
d
1
en
9
7
E
g
s
7
9
7
+
37663 PAQUITA JESSICA MAGA F 02/27/2002 BS BUSINESS MANAGEMENTyosa@gmail.com 150 PASSED
0
es
.
i
37664 SALAZAR LANCE ESPINELI M 08/29/2002 BS INFORMATION TECHNOLOGY9@gmail.com 150 PASSED
E
7
l
al
ces
0
1
.
an
9
+
2
azar2
6
9
150
g
9
t
8
et
9
37665 TURQUEZA BRIDGET F 05/05/2002 BS BUSINESS MANAGEMENTurqueza011219@gmail.com PASSED
.
4
4
d
0
+
1
ri
b
E
37666 NEO PAULENE KATEBUHAY F 09/26/2000 BS PSYCHOLOGY neopaulene26@gmail.com 150 PASSED
5
E
1
.
3
9
1
9
0
+
.
9
ab
5
as
i
37667 ASIA ANNABELLE EDAUGAL F 08/30/2001 BS BUSINESS MANAGEMENTeseu@gmail.com 150 PASSED
el
l
6
1
0
0
E
+
9
5
ri
2
9
+
p
37668 PAEZ PRINCE ANTHONY SQUALL M 04/08/2000 BS BUSINESS MANAGEMENTaez08@gmail.com 150 PASSED
6
9
IME
.
J
Z
0
5
cep
N
E
E
n
.
1
el
6
9
+
2
mag
E
9
t
37669 ELIZALDE MARK EJAY MABANSAG M 11/27/2001 BS INFORMATION TECHNOLOGYer@gmail.com 150 PASSED
as
0
i
1
0
y
37670 RAPADA RUBY ANN REYES F 11/07/2001 BS BUSINESS MANAGEMENTesrapada@gmail.com150 PASSED
9
1
b
1
.
E
2
rey
9
ru
+
7
+
j
37671 RAZO JENNIFER YULIM F 10/14/2001 BS BUSINESS MANAGEMENT@gmail.com9 150 PASSED
6
.
1
E
8
6
9
9
razo
7
7
0
+
t
9
.
1
n
i
cen
9
E
en
as
5
v
37672 BEÑAS JOHN VINCENTRINDUGA M 03/19/2001 BS INFORMATION TECHNOLOGY15@gmail.com 150 PASSED
0
0
9
b
A
.
0
E
1
.
es
v
b
37673 BUNAN YVES FRANCISCELESTE M 02/23/2002 BS INFORMATION TECHNOLOGY3@gmail.com 150 PASSED
an
9
2
y
5
n
u
7
+
9
9
0
E
9
1
+
.
5
g
E
ei
o
9
p
V
k
y
mi
d
N
l
1
37674 CASTRO JOSEPH MIYKHLETURA M 09/13/2001 BS INFORMATION TECHNOLOGY14@gmail.com 150 PASSED
E
0
k
0
9
s
i
8
5
+
ab
1
n
ari
9
ern
37675 BERNIS KARINA CASELA F 10/03/2001 BS INFORMATION TECHNOLOGYvlogs@gmail.com150 PASSED
.
o
A
l
art
1
37676 BARTOLATAMARC DARRYL M 01/09/2000 BS INFORMATION TECHNOLOGYa9@gmail.com 150 PASSED
marcb
at
N
/
marcen
T
.
E
en
37677 MARCENARESEOLENE GALAGAR F 07/01/2002 BS INFORMATION TECHNOLOGYares@gmail.com150 PASSED
l
+
0
l
9
9
1
6
en
7
4
9
6
o
can
.
1
g
37678 CANAMAN ANGELO MOLARO M 08/11/1999 BS INFORMATION TECHNOLOGYaman6@gmail.com150 PASSED
an
0
E
3
6
+
9
el
g
6
@
E
1
aren
4
ren
6
9
37679 CORTEZ KAREN RAGOS F 06/02/2002 BS INFORMATION TECHNOLOGYmail.com 150 PASSED
.
ck
+
9
0
+
i
h
1
1
A
al
4
E
9
37680 RELLOSA LANCE ANTHONYBINALES M 07/07/2001 BS INFORMATION TECHNOLOGYes@gmail.com 150 PASSED
.
9
y
5
i
ab
k
n
0
u
E
+
n
ei
rrv
l
BA
l
9
L
0
37681 VILLARDO RENNEIS VINCENTONDO M 09/01/2001 BS BUSINESS MANAGEMENTardo@gmail.com 150 PASSED
.
9
0
9
i
1
6
9
E
n
9
0
37682 CASYAO NIKKO M 06/04/1999 BS INFORMATION TECHNOLOGY98@gmail.com 150 PASSED
+
5
ao
.
6
i
cas
k
o
1
6
y
k
g
+
0
1
37683 ELLEMA GEMALYN SIGURO F 05/17/2001 BS INFORMATION TECHNOLOGY1717@gmail.com150 PASSED
9
7
1
2
l
en
el
7
e1
1
1
E
.
9
2
3
ames
+
j
3
L
1
ri
9
37684 ALCANO JAMES ADRIANAGDAMIN M 07/17/2001 BS INFORMATION TECHNOLOGY33@gmail.com 150 PASSED
E
.
an
9
4
0
ad
6
.
9
al
4
0
37685 NALDO KRISZA MAEGALLARDO F 02/27/2002 BS INFORMATION TECHNOLOGYdo27@gmail.com150 PASSED
+
9
k
7
ri
E
s
1
zamaen
9
37686 MATIAS DAVE SHELDON M 03/15/2001 BS INFORMATION TECHNOLOGYdm@gmail.com 150 PASSED
0
E
d
.
as
.
6
7
9
1
9
i
av
+
e.mat
9
j
ael
E
1
3
ferreras
5
9
+
1
.
37687 FERRERAS JAEL LOQUILLANO F 05/11/2002 BS INFORMATION TECHNOLOGY@gmail.com 150 PASSED
2
0
9
6
2
4
9
.
E
0
37688 FERRER JESSIE HERRERA M 04/08/2002 BS PSYCHOLOGY jessief088@gmail.com 150 PASSED
+
1
22 of 25

