Page 23 - Admission Report
P. 23
6
y
9
j
4
5
o
+
E
1
0
9
.
y
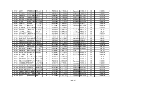
37689 JOYA KYLE EUGENECERADO M 05/03/2002 BS INFORMATION TECHNOLOGYa@yahoo.com 150 PASSED
erceej
o
k
A
E
P
g
ro
9
6
maeb
.
5
1
N
5
n
+
0
o
9
37690 BORONG MARINELLA MAEISAN F 10/23/2001 BS INFORMATION TECHNOLOGY@gmail.com 150 PASSED
5
3
0
3
co
1
4
l
9
37691 FERANIL MARC ANTHONYON M 01/04/2002 BS INFORMATION TECHNOLOGY@gmail.com 150 PASSED
feran
mi
9
.
i
D
IZ
+
E
3
d
2
rew
E
37692 EGUIA JOHN ANDREWBARZA M 09/23/2001 BS INFORMATION TECHNOLOGYarzaeguia@gmail.com150 PASSED
9
+
9
.
an
1
.
0
b
5
E
p
.
9
0
s
+
9
1
ri
SA
37693 ORQUILLA PRINCESS ANNELSONA F 04/26/2002 BS BUSINESS MANAGEMENTorquilla1@gmail.com150 PASSED
n
ces
1
3
1
9
37694 PADILLA DANICA MAEBURABO F 11/09/2001 BS BUSINESS MANAGEMENTyapadilla09@gmail.com150 PASSED
t
t
0
9
h
+
i
4
y
.
t
9
k
k
E
1
4
rav
o
an
en
t
1
E
7
7
9
37695 INTANO RAVEN FRANCIS F 08/05/2001 BS INFORMATION TECHNOLOGY@gmail.com 150 PASSED
+
0
.
i
9
5
n
9
+
t
E
37696 LIRAZAN CHANDY CAÑETE F 07/22/2002 BS INFORMATION TECHNOLOGYs@gmail.com 150 PASSED
d
9
y
0
7
7
an
amp
.
7
ch
1
u
9
4
+
6
.
0
9
ai
E
5
j
37697 PANTOJA IRISH AIDEENALEJANDRO F 08/12/2001 BS BUSINESS MANAGEMENTrish3@gmail.com 150 PASSED
1
t
an
o
p
37698 LOZADA ANGILINE YANGGA F 12/27/2001 BS PSYCHOLOGY angiline2001@gmail.com 150 FAILED
9
0
2
9
E
4
+
.
1
1
1
8
9
9
.
+
0
37699 ARQUILLA GELLA DULCE F 03/19/2001 BS PSYCHOLOGY arquillagella@gmail.com 150 FAILED
6
2
E
9
.
+
E
0
8
9
37700 RUSABAN ANECITO JR. TUBELLO M 09/29/2000 BS PSYCHOLOGY rusabananecity@gmail.com 150 PASSED
9
5
1
9
8
ren
0
1
37701 HERNANDEZVENNER LICUANAN M 04/25/2002 BS BUSINESS MANAGEMENTernandez@gmail.com150 FAILED
0
.
ev
+
h
n
E
7
9
A
N
an
cas
0
N
A
+
1
7
ICU
d
9
s
1
5
L
9
.
E
37702 PARAGAS MARIA CASSANDRA LEE F 06/05/2002 BS BUSINESS MANAGEMENTraparagas@gmail.com150 FAILED
1
9
5
9
.
0
9
37703 MANUEL AMANDA VILLAS F 10/27/2001 BS PSYCHOLOGY amandaa.manuel06@gmail.com150 FAILED
E
+
.
+
9
i
d
5
2
9
an
1
1
0
37704 MALASAGADANIEL JAY CANON M 12/09/2001 BS BUSINESS MANAGEMENTamalasaga@gmail.com 150 PASSED
E
1
k
E
ch
150
2
9
es
T
E
6
+
O
fran
O
D
0
37705 SANTOS FRANCHESKA NICOLERO F 08/27/2001 BS INFORMATION TECHNOLOGYcolesantos0827@gmail.com PASSED
i
5
.
9
an
1
+
2
d
9
ceren
6
3
37706 CERENO DJEORGIE FRANCISCO F 09/06/1999 BS BUSINESS MANAGEMENT@gmail.com09 150 FAILED
E
.
o
+
E
6
8
37707 QUIMADO RAFAEL ORTEGA M 01/03/2002 BS INFORMATION TECHNOLOGYrafael02@gmail.com150 FAILED
u
o
9
1
2
9
d
q
0
i
man
.
A
37708 FERRER DEZERIE CLAIRETDULA F 07/24/2002 BS PSYCHOLOGY N/A N/A 150 FAILED
G
1
E
6
.
+
0
7
7
1
c1
raci
n
i
37709 CUSTODIO RACINI JAMESROMAY M 07/21/2002 BS BUSINESS MANAGEMENT9@gmail.com9 150 PASSED
9
6
9
E
0
37710 CATUBIG ELLA MAE F 10/24/2001 BS PSYCHOLOGY regondolaellaijah@gmail.com150 PASSED
+
1
1
9
.
0
1
9
+
1
4
0
.
E
5
37711 SARTE MARRIANE CAMATOY F 03/13/2001 BS PSYCHOLOGY marrianesarte12@gmail.com150 FAILED
9
9
o
t
eri
E
2
.
5
0
37712 LUSTERIO JOANNA MAEROLLOQUE F 12/18/2001 BS BUSINESS MANAGEMENToannamae@gmail.com150 FAILED
+
6
1
l
j
s
u
9
+
150
o
g
9
s
n
0
37713 MASONGSONGNNA JANEPAMAOS F 05/24/2002 BACHELOR OF SECONDARY EDUCATION@gmail.com PASSED
E
K
1
8
aj
en
1
n
8
n
o
emas
an
9
k
E
g
.
t
eb
en
9
o
0
0
+
37714 GENEBLAZAVINCENT MALAGUSAN M 11/11/1999 BS INFORMATION TECHNOLOGYaza@gmail.com 150 PASSED
1
s
.
u
l
1
E
9
9
g
h
d
1
E
9
0
au
.
4
+
37715 AQUINO LANCE KIRBYFLORES M 02/08/2000 BS BUSINESS MANAGEMENTzaraphioney7@gmail.com150 PASSED
7
rey
7
9
6
37716 REAMBONANZADREA BAGUNA F 04/18/2001 BS PSYCHOLOGY andreareambonanza1@gmail.com PASSED
.
0
9
150
8
1
A
N
+
9
E
0
9
0
5
D
+
.
150
9
1
6
E
37717 CAPISTRANOMARK JAYSONE GUZMAN M 12/29/2001 BS PSYCHOLOGY cabtstudent.capistranomjd@gmail.com PASSED
8
9
0
150
+
7
1
.
E
5
5
37718 MAGSILANGMARIA RICA LEGADA F 11/26/2001 BS PSYCHOLOGY magsilangmariarica15@gmail.com PASSED
9
an
37719 GEPANAYAOVINCE ANDREIEMALAYA M 03/24/2002 BS BUSINESS MANAGEMENTayao@gmail.com 150 PASSED
0
9
4
9
G
9
E
9
g
+
.
ep
1
v
.
9
2
1
0
9
9
+
9
E
37720 BUHAY RENZ ALFREDROSA M 10/27/2001 BS PSYCHOLOGY ayoomaygad@gmail.com 150 PASSED
23 of 25

