Page 3 - Admission Report
P. 3
E
1
0
+
5
1
9
6
.
9
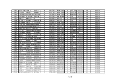
37049 MERJUDIO CARLA PERTEZ F 09/12/2001 BS PSYCHOLOGY carla_merjudio@yahoo.com 150 PASSED
37050 LEYNES JONNAVI PANAO F 02/21/2001 BS HOSPITALITY MANAGEMENTes@yahoo.com 150 PASSED
1
0
9
.
n
3
ey
n
n
j
o
_
l
av
i
1
0
9
+
E
9
9
ay
E
1
as
0
h
k
at
al
+
.
s
7
G
A
9
4
37051 SALASAYO JAN KATHERINEULTO F 10/19/2000 BS HOSPITALITY MANAGEMENTo19@gmail.com 150 PASSED
.
+
6
0
A
5
/
E
9
.
1
9
37052 JABUTAY MARYJOY HONOR F 02/15/2001 BACHELOR OF SECONDARY EDUCATION 150 PASSED
1
N
0
i
j
men
2
E
.
9
5
9
+
1
ezk
37053 JIMENEZ KRISTINE JOY F 03/29/2002 BS OFFICE ADMINISTRATIONristine887@gmail.com150 PASSED
1
1
N
A
37054 DE JESUS MHORIZ EANCREENCIA M 03/02/2001 BS OFFICE ADMINISTRATION 9.125E+09 150 FAILED
/
9
37055 APACIBLE ANGELYN ANTIPAS F 10/30/2000 BS BUSINESS MANAGEMENTapacible30@gmail.com150 PASSED
3
.
y
g
0
4
n
+
5
9
an
el
E
1
BO
6
+
7
9
.
9
37056 ESTACION RYAN BERNARDRVA M 06/04/1998 BS PSYCHOLOGY rbestacion@gmail.com 150 PASSED
1
9
E
0
E
s
9
h
9
5
t
ap
1
4
ri
ak
0
.
G
+
3
37057 PAKINGAN TRISHA ELAINEELERA F 08/26/2001 BS OFFICE ADMINISTRATIONinggan@gmail.com 150 PASSED
1
37058 MARTINEZ RALPH LAWRENCE M 10/29/2000 BS PSYCHOLOGY N/A 9.669E+09 150 PASSED
3
0
.
6
9
1
1
n
6
mark
0
37059 LUAYON JHON MARK VELASCO M 07/02/2000 BS HOSPITALITY MANAGEMENT1919@gmail.com150 PASSED
E
o
h
j
9
+
37060 VELARDE HEIZEL MAISOG F 04/06/2002 BS INFORMATION TECHNOLOGYe@yahoo.com 150 PASSED
ei
A
v
1
zel
ard
h
N
/
el
37061 NIEPEZ MARGIE LYNNNTALLAN F 11/13/2001 BS HOSPITALITY MANAGEMENT.353E+09 150 PASSED
/
1
A
9
N
A
CO
.
6
37062 AGANA FERNANDO JOSEZ M 02/05/2002 BS OFFICE ADMINISTRATION_agana2@yahoo.com150 PASSED
an
d
E
fern
2
9
o
0
9
1
6
+
A
37063 VILLAPANDOROSE ANN PREALOGA F 01/30/2002 BS BUSINESS MANAGEMENT 9.751E+09 150 PASSED
1
N
/
N
A
37064 BIDO RENALYN DEO F 07/31/2001 BS BUSINESS MANAGEMENT 9.679E+09 150 PASSED
/
1
macal
9
8
1
9
1
a0
0
37065 MACALINGAHANNA ANTIOQUIA F 08/08/2000 BS INFORMATION TECHNOLOGY@gmail.com 150 PASSED
i
.
n
8
+
E
g
4
T
9
RIO
O
+
7
N
9
0
E
E
6
37066 AUSTRIA FRANCHESKA NICOLE F 12/01/2000 BS OFFICE ADMINISTRATIONeska08@gmail.com 150 PASSED
.
5
ri
au
1
t
s
ach
/
37067 BAGO JERRIC NOBLEZA M 11/28/1996 BS HOSPITALITY MANAGEMENT.678E+09 150 PASSED
9
1
N
A
1
l
+
.
ap
0
s
37068 SAPALARANGLADYS HERRERA F 10/13/2000 BACHELOR OF SECONDARY EDUCATIONmail.com150 PASSED
s
E
6
3
9
1
ad
1
y
@
3
g
al
aran
g
9
i
9
en
+
1
2
4
v
37069 CACAO ROBENSON BAJADO M 10/31/2000 BS BUSINESS MANAGEMENTon31@gmail.com 150 PASSED
o
9
6
rh
E
.
s
0
.
7
i
i
E
5
9
el
1
2
9
cav
an
l
4
i
37070 VILI ANGELICA SILEMEN F 04/03/2001 BS INFORMATION TECHNOLOGY001@gmail.com150 PASSED
+
g
0
E
k
rey
8
s
E
ch
RRE
el
es
o
es
8
U
1
9
0
ad
3
.
G
37071 DELOS REYESFRANCHESKA LOUISERO F 07/12/2001 BACHELOR OF SECONDARY EDUCATIONgmail.com150 PASSED
@
+
2
1
9
.
37072 ARANAS McHENLY GUMOC M 02/16/1999 BS INFORMATION TECHNOLOGYly@gmail.com 150 PASSED
en
aran
as
1
+
mch
0
5
0
2
9
E
9
.
+
9
6
E
9
0
2
6
37073 CANTIGA JUNELYN PASUCAL F 07/27/2002 BS PSYCHOLOGY nylennujcantiga@gmail.com 150 PASSED
1
A
1
/
37074 TACLE JOHN MARK FAJARDO M 09/15/1998 BS HOSPITALITY MANAGEMENT.494E+09 150 PASSED
N
9
+
0
h
g
t
el
1
E
5
mas
erran
9
8
0
o
.
9
0
1
@
37075 SERRANO THELMA ALPOS F 11/12/1998 BACHELOR OF SECONDARY EDUCATIONmail.com150 PASSED
1
3
+
E
a@
y
l
t
.
0
9
37076 BIJO RECELYN LITA F 06/22/2001 BS INFORMATION TECHNOLOGYgmail.com 150 PASSED
9
9
recel
n
i
+
1
1
o
9
9
0
.
2
k
k
6
mch
7
i
37077 SOLOMON JANINA MORANDARTE F 01/21/2001 BS INFORMATION TECHNOLOGY@gmail.com 150 PASSED
E
i
6
37078 VILA MA. JANNA KAELAERO F 01/29/2002 BS PSYCHOLOGY jannakaelala@gmail.com 150 PASSED
0
E
BE
9
+
1
.
A
J
9
9
0
1
6
8
9
an
0
1
n
o
.
+
37079 ERMINO JOANNA MARIESINGA F 02/29/2001 BS OFFICE ADMINISTRATIONaermino29@gmail.com150 PASSED
E
BE
9
j
1
1
9
0
.
ean
37080 ANQUILAN EISLE ANN ZAFRA F 07/21/2002 BS HOSPITALITY MANAGEMENTan72@gmail.com 150 PASSED
q
i
l
u
9
+
s
0
ei
l
6
8
E
3 of 25

