Page 8 - Admission Report
P. 8
E
1
+
9
0
.
9
3
9
0
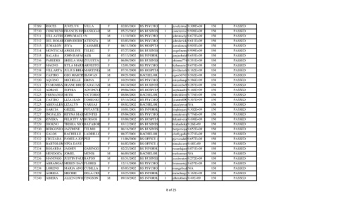
37209 ROCES JUVELYN VILLA F 02/03/2001 BS PSYCHOLOGY juvelynroces03@gmail.com 150 PASSED
N
8
BA
co
E
i
9
.
9
37210 CONCRENIOFRANCIS MATTHEWO-OS M 05/23/2002 BS BUSINESS MANAGEMENTo23@gmail.com 150 PASSED
IG
9
1
+
0
cren
9
n
9
7
1
0
+
6
37211 VILLAVERDEOHN MACLYN M 11/19/2001 BS PSYCHOLOGY johnmaclynvillaverde@gmail.com PASSED
.
150
9
E
2
J
6
+
1
37212 DEL ROSARIOOHN DERICKATIENZA M 03/03/2001 BS PSYCHOLOGY johnderickd@gmail.com 150 PASSED
J
9
.
1
0
9
1
E
j
o
mal
n
cap
u
9
.
150
3
1
E
9
0
+
9
9
37213 JUMALON JEYA CAMARILLO F 08/11/2000 BS HOSPITALITY MANAGEMENTablanca002@gmail.com PASSED
9
i
el
.
0
g
+
9
9
150
9
n
9
E
1
A
an
37214 MONTECALVONGELINE TELEG F 07/27/2001 BS BUSINESS MANAGEMENTemontecalvo127@gmail.com PASSED
b
.
al
37215 BALABA JOHN RAFAELASIS M 07/13/2002 BS INFORMATION TECHNOLOGYa123@gmail.com150 PASSED
5
an
j
0
E
j
+
1
5
9
6
an
ab
9
3
+
.
0
eme7
1
1
5
9
s
E
i
h
37216 PAREDES SHIELA MAEZULUETA F 06/04/2001 BS BUSINESS MANAGEMENT7@gmail.com9 150 PASSED
9
9
1
37217 MAGNO KYLA MARIEARNESTO F 12/01/2001 BS PSYCHOLOGY kylamarie318@gmail.com 150 PASSED
5
E
7
+
.
6
0
l
l
6
37218 VILLARTA JULIUS BRIANMARTINEZ M 07/31/2000 BS HOSPITALITY MANAGEMENTmail.com9 150 PASSED
b
2
a@
+
art
v
i
.
g
E
9
0
j
1
1
7
.
6
2
l
9
g
1
9
5
37219 CASTRO GEO MARTINIBAWAN M 09/21/2001 BACHELOR OF SECONDARY EDUCATION 150 PASSED
.
@
6
mai
m
co
eo
+
3
cg
E
0
E
6
1
9
0
8
37220 AQUINO MICHELLE EBINA F 10/29/2001 BS PSYCHOLOGY misyelaaquino123@gmail.com150 PASSED
+
9
.
3
8
2
1
.
0
t
9
+
mo
9
u
7
CA
D
mb
E
37221 TUMOMBA SHANE BRENDANAUAN M 04/10/2002 BS BUSINESS MANAGEMENTa98@gmail.com 150 PASSED
h
+
8
0
p
9
1
9
E
1
v
37222 ADRIAS SOPHIA ADVINCULA F 09/04/2001 BS HOSPITALITY MANAGEMENTculaadrias@gmail.com PASSED
150
aad
s
6
i
.
n
o
i
t
37223 FERMANES MITSI VICTORIO F 08/04/2001 BACHELOR OF SECONDARY EDUCATIONmail.com150 PASSED
i
0
g
.
9
4
1
@
i
ferman
mi
E
zi
+
7
es
0
7
9
6
6
E
0
37224 CASTRO LIZA JEAN TOMENIO F 03/16/2002 BS PSYCHOLOGY ljcastro0002@gmail.com 150 PASSED
7
3
9
.
1
+
9
A
37225 ABENALES LIZALYN VARGAS F 08/02/2002 BACHELOR OF SECONDARY EDUCATION.com 150 PASSED
arg
@
l
ai
1
N
zal
l
/
y
n
as
mai
v
g
s
9
0
3
2
arci
0
E
h
+
g
eg
i
37226 GARCIA GIEZEL POTANTE F 10/01/2001 BS INFORMATION TECHNOLOGYa@gmail.com 150 PASSED
t
1
i
.
9
37227 INOJALES REYNA MAE MONTES F 05/04/2001 BS PSYCHOLOGY inojalesreynamaem@gmail.com150 PASSED
7
+
0
E
7
9
6
9
1
.
E
9
.
ari
+
37228 RIVERA FELICITY ANNEBURGOS F 03/08/2002 BS HOSPITALITY MANAGEMENTgmail.com 150 PASSED
9
4
era@
1
8
9
fel
v
y
0
t
+
37229 DIOKNO TRISHA NICOLEBAYABORDA F 03/12/2002 BS BUSINESS MANAGEMENTokno011@gmail.com150 PASSED
i
1
6
E
ad
h
0
ri
9
s
9
2
.
9
b
n
6
1
2
150
i
.
+
o
0
37230 BERGONIO JAZZMINE TELMO F 06/16/2002 BS BUSINESS MANAGEMENTojazzmine990@gmail.com PASSED
erg
5
E
9
1
0
l
+
E
l
37231 GALOS RACHELLE LADRILLO F 08/27/2001 BACHELOR OF SECONDARY EDUCATION.com 150 PASSED
mai
ch
g
g
9
el
y
9
@
8
2
o
.
7
l
s
1
al
1
zad
37232 CRUZADA PAMELA JOYPEJI F 11/06/2000 BS OFFICE ADMINISTRATIONa0030@gmail.com 150 PASSED
6
5
E
j
p
+
cru
9
.
9
1
7
0
1
ad
E
9
8
+
37233 BARTOLOMENIÑA DAVE F 04/02/2001 BS OFFICE ADMINISTRATIONerejida@gmail.com 150 PASSED
av
.
4
n
n
i
0
9
37234 ROSARDA JASMIN GARINGO F 02/23/2002 BS INFORMATION TECHNOLOGYn23@gmail.com150 PASSED
mi
0
s
9
0
1
+
ard
ro
1
.
9
aj
as
7
E
A
za.7
o
g
men
N
37235 MENDOZA JOMEL MONIS M 06/09/2002 BACHELOR OF SECONDARY EDUCATIONmail.com150 PASSED
o
n
1
d
t
mel
@
/
E
37236 MANINGO JUSTIN PAULRATON M 03/31/2002 BS BUSINESS MANAGEMENTon@gmail.com 150 PASSED
9
n
s
i
zu
9
1
rat
2
7
.
t
+
0
2
6
.
7
+
5
1
E
37237 ABRANGANMEREN DAVINFLORES F 12/11/2000 BS PSYCHOLOGY brunoastejada@gmail.com 150 PASSED
9
9
0
N
/
37238 LORENO MARIA ANGELICABILLA F 05/05/2002 BS PSYCHOLOGY mangelicaloreno@gmail.com150 PASSED
CU
1
A
6
.
E
men
1
i
9
ag
37239 AGRIDA MECHIE DELA CRUZ F 10/25/2001 BS INFORMATION TECHNOLOGYa1@gmail.com 150 PASSED
9
3
1
d
0
+
ch
ri
4
l
150
0
en
9
E
i
1
+
ab
al
.
9
37240 ABIERA ALLEN DWIGTHINGSON M 09/10/2002 BS INFORMATION TECHNOLOGY9102002@gmail.com PASSED
9
era0
T
8 of 25

