Page 44 - Kalkulus Lanjut
P. 44
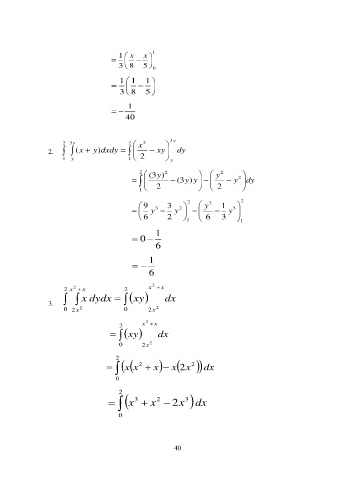
1 x x 1
= −
3 8 5 0
1 1 1
= −
3 8 5
1
= −
40
2 3y 2 x 2 3y
2. (x + )dxdy = − xy dy
y
1 y 1 2 y
2 3 ( y ) 2 y 2
= − 3 ( y )y − − y 2 dy
1 2 2
9 3 2 2 y 3 1 2
= y 3 − y − − y 3
6 2 1 6 3 1
1
= 0 −
6
1
= −
6
2
2
2 x + x 2 x + x
xy
x dydx = ( ) dx
3.
0 2 x 2 0 2 x 2
2
2 x + x
=
( ) dx
xy
0 2 x 2
2
x ( ( x + x ) ( xx− 2 2 ))dx
=
2
0
2
= (x + x − 2 x 3 )dx
2
3
0
40

