Page 91 - e-modul edit revisi 1
P. 91
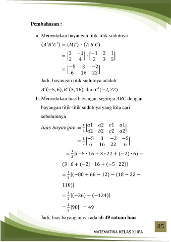
Pembahasan :
a. Menentukan bayangan titik-titik sudutnya
′ ′
′
[ ] [ ]
[ ]
Jadi, bayangan titik sudutnya adalah:
′
′
b. Menentukan luas bayangan segitiga ABC dengan
bayangan titik-titik sudutnya yang kita cari
sebelumnya
| |
| |
|
|
|
|
| |
| |
Jadi, luas bayangannya adalah 49 satuan luas
85
MATEMATIKA KELAS XI IPA

