Page 311 - 1300 Math Formulas
P. 311
CHAPTER 10. DIFFERENTIAL EQUATIONS
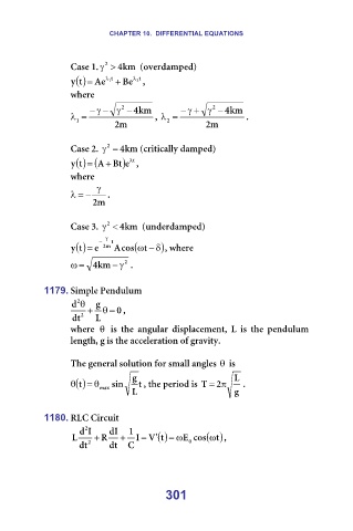
`~ëÉ=NK γ O > Q âã =EçîÉêÇ~ãéÉÇF=
ó () ^Éí = í N λ + _É λ O í I==
ïÜÉêÉ==
− γ − γ O − Q âã − γ + γ O − Q âã
λ = I=λ = K==
N
O ã O O ã
=
`~ëÉ=OK= γ O = Q âã EÅêáíáÅ~ääó=Ç~ãéÉÇF=
í λ
ó () (^í = + _í )É I==
ïÜÉêÉ==
γ
λ = − K=
O ã
=
`~ëÉ=PK= γ O < Q âã =EìåÇÉêÇ~ãéÉÇF==
γ
− í
)ωí
ó ()= Éí O ã Åçë ( ^ − δ I=ïÜÉêÉ==
−
ω = Q âã γ K==
O
=
1179. páãéäÉ=mÉåÇìäìã=
Ç θ + Ö θ = M I=
O
Çí O i
ïÜÉêÉ= θ = áë= íÜÉ= ~åÖìä~ê= Çáëéä~ÅÉãÉåíI= i= áë= íÜÉ= éÉåÇìäìã=
äÉåÖíÜI=Ö=áë=íÜÉ=~ÅÅÉäÉê~íáçå=çÑ=Öê~îáíóK=
=
qÜÉ=ÖÉåÉê~ä=ëçäìíáçå=Ñçê=ëã~ää=~åÖäÉë=θ =áë==
θ () í = θ ëáå Ö í I=íÜÉ=éÉêáçÇ=áë= q = Oπ i K==
ã~ñ
i Ö
=
1180. oi`=`áêÅìáí=
Ç O f Çf N
i + o + f = s′ () í = ω b Åçë ( ) íω I=
Çí O Çí ` M
301

