Page 212 - เอกสารตรวจรับระบบ dr site
P. 212
เอกสารแนบ 6
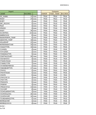
Export Import Compare
OWNER TABLE_NAME RACORDS OWNER TABLE_NAME RACORDS OWNER TABLE_NAME RACORDS
SCOBKEGAT ARC_DOC_NAME 11 rows SCOBKEGAT ARC_DOC_NAME 11 rows TRUE TRUE TRUE
SCOBKEGAT ARC_GROUP 24 rows SCOBKEGAT ARC_GROUP 24 rows TRUE TRUE TRUE
SCOBKEGAT ARC_SECRET 2 rows SCOBKEGAT ARC_SECRET 2 rows TRUE TRUE TRUE
SCOBKEGAT ARC_SENT_RECEIVE 5 rows SCOBKEGAT ARC_SENT_RECEIVE 5 rows TRUE TRUE TRUE
SCOBKEGAT ARC_SPEED 3 rows SCOBKEGAT ARC_SPEED 3 rows TRUE TRUE TRUE
SCOBKEGAT ARC_TYPEDOC 3 rows SCOBKEGAT ARC_TYPEDOC 3 rows TRUE TRUE TRUE
SCOBKEGAT ASNBUDGET 30 rows SCOBKEGAT ASNBUDGET 30 rows TRUE TRUE TRUE
SCOBKEGAT ASNDOCCONTROL 153 rows SCOBKEGAT ASNDOCCONTROL 153 rows TRUE TRUE TRUE
SCOBKEGAT ASNMEMBRECEIVE 9 rows SCOBKEGAT ASNMEMBRECEIVE 9 rows TRUE TRUE TRUE
SCOBKEGAT ASNPENSIONPERPAY_TEMP 9 rows SCOBKEGAT ASNPENSIONPERPAY_TEMP 9 rows TRUE TRUE TRUE
SCOBKEGAT ASNREQMASTER_TEMP 18 rows SCOBKEGAT ASNREQMASTER_TEMP 18 rows TRUE TRUE TRUE
SCOBKEGAT ASNSCHOLARSHIP 25 rows SCOBKEGAT ASNSCHOLARSHIP 25 rows TRUE TRUE TRUE
SCOBKEGAT ASNSENVIRONMENTVAR 43 rows SCOBKEGAT ASNSENVIRONMENTVAR 43 rows TRUE TRUE TRUE
SCOBKEGAT ASNUCFASSISTTYPE 10 rows SCOBKEGAT ASNUCFASSISTTYPE 10 rows TRUE TRUE TRUE
SCOBKEGAT ASNUCFCANCEL 2 rows SCOBKEGAT ASNUCFCANCEL 2 rows TRUE TRUE TRUE
SCOBKEGAT ASNUCFCHILDSEX 2 rows SCOBKEGAT ASNUCFCHILDSEX 2 rows TRUE TRUE TRUE
SCOBKEGAT ASNUCFDAMAGETYPE 5 rows SCOBKEGAT ASNUCFDAMAGETYPE 5 rows TRUE TRUE TRUE
SCOBKEGAT ASNUCFDEPTACCOUNT 20 rows SCOBKEGAT ASNUCFDEPTACCOUNT 20 rows TRUE TRUE TRUE
SCOBKEGAT ASNUCFDONATETO 3 rows SCOBKEGAT ASNUCFDONATETO 3 rows TRUE TRUE TRUE
SCOBKEGAT ASNUCFFAMILYDEAD 3 rows SCOBKEGAT ASNUCFFAMILYDEAD 3 rows TRUE TRUE TRUE
SCOBKEGAT ASNUCFFAMILYTYPE 7 rows SCOBKEGAT ASNUCFFAMILYTYPE 7 rows TRUE TRUE TRUE
SCOBKEGAT ASNUCFKTMONEYRANGE 2 rows SCOBKEGAT ASNUCFKTMONEYRANGE 2 rows TRUE TRUE TRUE
SCOBKEGAT ASNUCFMEMBGRPTYPE 17 rows SCOBKEGAT ASNUCFMEMBGRPTYPE 17 rows TRUE TRUE TRUE
SCOBKEGAT ASNUCFPAY65 5 rows SCOBKEGAT ASNUCFPAY65 5 rows TRUE TRUE TRUE
SCOBKEGAT ASNUCFPAYKTDEAD 5 rows SCOBKEGAT ASNUCFPAYKTDEAD 5 rows TRUE TRUE TRUE
SCOBKEGAT ASNUCFPAYPS 5 rows SCOBKEGAT ASNUCFPAYPS 5 rows TRUE TRUE TRUE
SCOBKEGAT ASNUCFPAYSTATUS 3 rows SCOBKEGAT ASNUCFPAYSTATUS 3 rows TRUE TRUE TRUE
SCOBKEGAT ASNUCFPAYTYPE 3 rows SCOBKEGAT ASNUCFPAYTYPE 3 rows TRUE TRUE TRUE
SCOBKEGAT ASNUCFPENSION 5 rows SCOBKEGAT ASNUCFPENSION 5 rows TRUE TRUE TRUE
SCOBKEGAT ASNUCFPERPAY 3 rows SCOBKEGAT ASNUCFPERPAY 3 rows TRUE TRUE TRUE
SCOBKEGAT ASNUCFREQSTATUS 13 rows SCOBKEGAT ASNUCFREQSTATUS 13 rows TRUE TRUE TRUE
SCOBKEGAT ASNUCFSCHGRP 8 rows SCOBKEGAT ASNUCFSCHGRP 8 rows TRUE TRUE TRUE
SCOBKEGAT ASNUCFSCHOLARSHIPTYPE 3 rows SCOBKEGAT ASNUCFSCHOLARSHIPTYPE 3 rows TRUE TRUE TRUE
SCOBKEGAT ASNUCFSCHOOLLEVEL 26 rows SCOBKEGAT ASNUCFSCHOOLLEVEL 26 rows TRUE TRUE TRUE
SCOBKEGAT ASNUCFSCHPAYGRP 16 rows SCOBKEGAT ASNUCFSCHPAYGRP 16 rows TRUE TRUE TRUE
SCOBKEGAT ASNUCFSUBDAMAGETYPE 5 rows SCOBKEGAT ASNUCFSUBDAMAGETYPE 5 rows TRUE TRUE TRUE
SCOBKEGAT ATMCARDREQCONF 1 rows SCOBKEGAT ATMCARDREQCONF 1 rows TRUE TRUE TRUE
SCOBKEGAT ATMCARDREQSTATUS 3 rows SCOBKEGAT ATMCARDREQSTATUS 3 rows TRUE TRUE TRUE
-- Confidential --
Page 16 of 39

