Page 214 - เอกสารตรวจรับระบบ dr site
P. 214
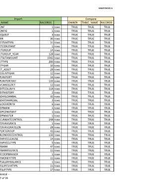
เอกสารแนบ 6
Export Import Compare
OWNER TABLE_NAME RACORDS OWNER TABLE_NAME RACORDS OWNER TABLE_NAME RACORDS
SCOBKEGAT ATMCONF 1 rows SCOBKEGAT ATMCONF 1 rows TRUE TRUE TRUE
SCOBKEGAT ATMCONFIG 1 rows SCOBKEGAT ATMCONFIG 1 rows TRUE TRUE TRUE
SCOBKEGAT ATMREQUEST 3 rows SCOBKEGAT ATMREQUEST 3 rows TRUE TRUE TRUE
SCOBKEGAT A_KPARR 36 rows SCOBKEGAT A_KPARR 36 rows TRUE TRUE TRUE
SCOBKEGAT BILLUCFITEMTYPE 54 rows SCOBKEGAT BILLUCFITEMTYPE 54 rows TRUE TRUE TRUE
SCOBKEGAT BUDGETCONSTANT 1 rows SCOBKEGAT BUDGETCONSTANT 1 rows TRUE TRUE TRUE
SCOBKEGAT BUDGETGROUP 14 rows SCOBKEGAT BUDGETGROUP 14 rows TRUE TRUE TRUE
SCOBKEGAT BUDGETGROUP_YEAR 128 rows SCOBKEGAT BUDGETGROUP_YEAR 128 rows TRUE TRUE TRUE
SCOBKEGAT BUDGETSETAMOUNT 1592 rows SCOBKEGAT BUDGETSETAMOUNT 1592 rows TRUE TRUE TRUE
SCOBKEGAT BUDGETTYPE 200 rows SCOBKEGAT BUDGETTYPE 200 rows TRUE TRUE TRUE
SCOBKEGAT BUDGETYEAR 10 rows SCOBKEGAT BUDGETYEAR 10 rows TRUE TRUE TRUE
SCOBKEGAT BUDGET_ASSET 28 rows SCOBKEGAT BUDGET_ASSET 28 rows TRUE TRUE TRUE
SCOBKEGAT CMACCOUNTYEAR 12 rows SCOBKEGAT CMACCOUNTYEAR 12 rows TRUE TRUE TRUE
SCOBKEGAT CMAPPLREPORT 16 rows SCOBKEGAT CMAPPLREPORT 16 rows TRUE TRUE TRUE
SCOBKEGAT CMAPPLREPORTDET 133 rows SCOBKEGAT CMAPPLREPORTDET 133 rows TRUE TRUE TRUE
SCOBKEGAT CMAPVCANCELDET 12 rows SCOBKEGAT CMAPVCANCELDET 12 rows TRUE TRUE TRUE
SCOBKEGAT CMAUDITCOLUMN 118 rows SCOBKEGAT CMAUDITCOLUMN 118 rows TRUE TRUE TRUE
SCOBKEGAT CMAUDITHISTORY 2 rows SCOBKEGAT CMAUDITHISTORY 2 rows TRUE TRUE TRUE
SCOBKEGAT CMCLSDAYLOANBAL 32 rows SCOBKEGAT CMCLSDAYLOANBAL 32 rows TRUE TRUE TRUE
SCOBKEGAT CMCLSDAYSHAREBAL 3 rows SCOBKEGAT CMCLSDAYSHAREBAL 3 rows TRUE TRUE TRUE
SCOBKEGAT CMCLSLOGMONTH 6 rows SCOBKEGAT CMCLSLOGMONTH 6 rows TRUE TRUE TRUE
SCOBKEGAT CMCOOPBANK 1 rows SCOBKEGAT CMCOOPBANK 1 rows TRUE TRUE TRUE
SCOBKEGAT CMCOOPCONSTANT 1 rows SCOBKEGAT CMCOOPCONSTANT 1 rows TRUE TRUE TRUE
SCOBKEGAT CMCOOPMASTER 1 rows SCOBKEGAT CMCOOPMASTER 1 rows TRUE TRUE TRUE
SCOBKEGAT CMDOCUMENTCONTROL 248 rows SCOBKEGAT CMDOCUMENTCONTROL 248 rows TRUE TRUE TRUE
SCOBKEGAT CMESTDIVAVGRATE 1 rows SCOBKEGAT CMESTDIVAVGRATE 1 rows TRUE TRUE TRUE
SCOBKEGAT CMESTDIVAVGRATELON 28 rows SCOBKEGAT CMESTDIVAVGRATELON 28 rows TRUE TRUE TRUE
SCOBKEGAT CMREPORTGROUP 43 rows SCOBKEGAT CMREPORTGROUP 43 rows TRUE TRUE TRUE
SCOBKEGAT CMSHRLONDOCCONTROL 150 rows SCOBKEGAT CMSHRLONDOCCONTROL 150 rows TRUE TRUE TRUE
SCOBKEGAT CMUCFAPVCCLCAUSE 14 rows SCOBKEGAT CMUCFAPVCCLCAUSE 14 rows TRUE TRUE TRUE
SCOBKEGAT CMUCFAPVCCLTYPE 5 rows SCOBKEGAT CMUCFAPVCCLTYPE 5 rows TRUE TRUE TRUE
SCOBKEGAT CMUCFBANK 47 rows SCOBKEGAT CMUCFBANK 47 rows TRUE TRUE TRUE
SCOBKEGAT CMUCFBANKFEERATE 11 rows SCOBKEGAT CMUCFBANKFEERATE 11 rows TRUE TRUE TRUE
SCOBKEGAT CMUCFCOOPBRANCH 1 rows SCOBKEGAT CMUCFCOOPBRANCH 1 rows TRUE TRUE TRUE
SCOBKEGAT CMUCFMONEYTYPE 11 rows SCOBKEGAT CMUCFMONEYTYPE 11 rows TRUE TRUE TRUE
SCOBKEGAT CMUCFSALARYBALANCE 1 rows SCOBKEGAT CMUCFSALARYBALANCE 1 rows TRUE TRUE TRUE
SCOBKEGAT CMUCFSLIPITEMTYPE 11 rows SCOBKEGAT CMUCFSLIPITEMTYPE 11 rows TRUE TRUE TRUE
SCOBKEGAT CMUCFSLIPTYPE 17 rows SCOBKEGAT CMUCFSLIPTYPE 17 rows TRUE TRUE TRUE
-- Confidential --
Page 17 of 39

