Page 228 - เอกสารตรวจรับระบบ dr site
P. 228
เอกสารแนบ 6
Export Import Compare
OWNER TABLE_NAME RACORDS OWNER TABLE_NAME RACORDS OWNER TABLE_NAME RACORDS
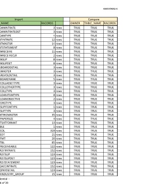
SCOBKEGAT OLCFLOANINTRATE 3 rows SCOBKEGAT OLCFLOANINTRATE 3 rows TRUE TRUE TRUE
SCOBKEGAT OLCFLOANINTRATEDET 3 rows SCOBKEGAT OLCFLOANINTRATEDET 3 rows TRUE TRUE TRUE
SCOBKEGAT OLCFLOANTYPE 4 rows SCOBKEGAT OLCFLOANTYPE 4 rows TRUE TRUE TRUE
SCOBKEGAT OLCONTINTRATE 12 rows SCOBKEGAT OLCONTINTRATE 12 rows TRUE TRUE TRUE
SCOBKEGAT OLCONTMASTER 14 rows SCOBKEGAT OLCONTMASTER 14 rows TRUE TRUE TRUE
SCOBKEGAT OLCONTSTATEMENT 8 rows SCOBKEGAT OLCONTSTATEMENT 8 rows TRUE TRUE TRUE
SCOBKEGAT OLLOANRECEIVE 11 rows SCOBKEGAT OLLOANRECEIVE 11 rows TRUE TRUE TRUE
SCOBKEGAT OLLOANRECEIVECLR 2 rows SCOBKEGAT OLLOANRECEIVECLR 2 rows TRUE TRUE TRUE
SCOBKEGAT OLLOANSLIP 8 rows SCOBKEGAT OLLOANSLIP 8 rows TRUE TRUE TRUE
SCOBKEGAT OLLOANSLIPDET 8 rows SCOBKEGAT OLLOANSLIPDET 8 rows TRUE TRUE TRUE
SCOBKEGAT OLORGBOARDDETAIL 3 rows SCOBKEGAT OLORGBOARDDETAIL 3 rows TRUE TRUE TRUE
SCOBKEGAT OLORGMASTER 3 rows SCOBKEGAT OLORGMASTER 3 rows TRUE TRUE TRUE
SCOBKEGAT OLORGREVOLDETAIL 3 rows SCOBKEGAT OLORGREVOLDETAIL 3 rows TRUE TRUE TRUE
SCOBKEGAT OLUCFBOARDRANK 5 rows SCOBKEGAT OLUCFBOARDRANK 5 rows TRUE TRUE TRUE
SCOBKEGAT OLUCFCOLLASSETTYPE 3 rows SCOBKEGAT OLUCFCOLLASSETTYPE 3 rows TRUE TRUE TRUE
SCOBKEGAT OLUCFCOLLOTHERTYPE 3 rows SCOBKEGAT OLUCFCOLLOTHERTYPE 3 rows TRUE TRUE TRUE
SCOBKEGAT OLUCFCOLLTYPE 3 rows SCOBKEGAT OLUCFCOLLTYPE 3 rows TRUE TRUE TRUE
SCOBKEGAT OLUCFLOANITEMTYPE 8 rows SCOBKEGAT OLUCFLOANITEMTYPE 8 rows TRUE TRUE TRUE
SCOBKEGAT OLUCFLOANOBJECTIVE 2 rows SCOBKEGAT OLUCFLOANOBJECTIVE 2 rows TRUE TRUE TRUE
SCOBKEGAT OLUCFORGTYPE 3 rows SCOBKEGAT OLUCFORGTYPE 3 rows TRUE TRUE TRUE
SCOBKEGAT OLUCFSLIPITEMTYPE 1 rows SCOBKEGAT OLUCFSLIPITEMTYPE 1 rows TRUE TRUE TRUE
SCOBKEGAT OLUCFSLIPTYPE 3 rows SCOBKEGAT OLUCFSLIPTYPE 3 rows TRUE TRUE TRUE
SCOBKEGAT PAPRINTINGMASTER 35 rows SCOBKEGAT PAPRINTINGMASTER 35 rows TRUE TRUE TRUE
SCOBKEGAT PAUCFPAPERSIZE 4 rows SCOBKEGAT PAUCFPAPERSIZE 4 rows TRUE TRUE TRUE
SCOBKEGAT PAUCFTEXTFORMAT 13 rows SCOBKEGAT PAUCFTEXTFORMAT 13 rows TRUE TRUE TRUE
SCOBKEGAT PAYTABLE 1 rows SCOBKEGAT PAYTABLE 1 rows TRUE TRUE TRUE
SCOBKEGAT PBCATCOL 319 rows SCOBKEGAT PBCATCOL 319 rows TRUE TRUE TRUE
SCOBKEGAT PBCATEDT 21 rows SCOBKEGAT PBCATEDT 21 rows TRUE TRUE TRUE
SCOBKEGAT PBCATFMT 20 rows SCOBKEGAT PBCATFMT 20 rows TRUE TRUE TRUE
SCOBKEGAT PBCATTBL 85 rows SCOBKEGAT PBCATTBL 85 rows TRUE TRUE TRUE
SCOBKEGAT PMINTRECEIVEABLE 122 rows SCOBKEGAT PMINTRECEIVEABLE 122 rows TRUE TRUE TRUE
SCOBKEGAT PMINVESTINTRATE 152 rows SCOBKEGAT PMINVESTINTRATE 152 rows TRUE TRUE TRUE
SCOBKEGAT PMINVESTSLIP 123 rows SCOBKEGAT PMINVESTSLIP 123 rows TRUE TRUE TRUE
SCOBKEGAT PMINVESTSLIPDET 123 rows SCOBKEGAT PMINVESTSLIPDET 123 rows TRUE TRUE TRUE
SCOBKEGAT PMINVESTSTATEMENT 123 rows SCOBKEGAT PMINVESTSTATEMENT 123 rows TRUE TRUE TRUE
SCOBKEGAT PMREQACCINTRATE 152 rows SCOBKEGAT PMREQACCINTRATE 152 rows TRUE TRUE TRUE
SCOBKEGAT PMREQPAYDETAIL 123 rows SCOBKEGAT PMREQPAYDETAIL 123 rows TRUE TRUE TRUE
SCOBKEGAT PMUCFINDUSTRY_GROUP 15 rows SCOBKEGAT PMUCFINDUSTRY_GROUP 15 rows TRUE TRUE TRUE
-- Confidential --
Page 24 of 39

