Page 223 - เอกสารตรวจรับระบบ dr site
P. 223
เอกสารแนบ 6
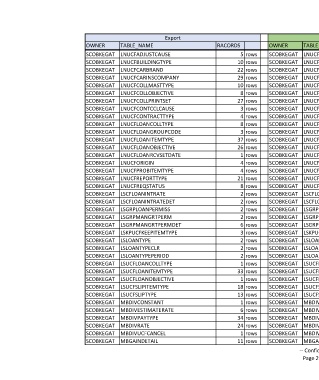
Export Import Compare
OWNER TABLE_NAME RACORDS OWNER TABLE_NAME RACORDS OWNER TABLE_NAME RACORDS
SCOBKEGAT LNUCFADJUSTCAUSE 5 rows SCOBKEGAT LNUCFADJUSTCAUSE 5 rows TRUE TRUE TRUE
SCOBKEGAT LNUCFBUILDINGTYPE 10 rows SCOBKEGAT LNUCFBUILDINGTYPE 10 rows TRUE TRUE TRUE
SCOBKEGAT LNUCFCARBRAND 22 rows SCOBKEGAT LNUCFCARBRAND 22 rows TRUE TRUE TRUE
SCOBKEGAT LNUCFCARINSCOMPANY 29 rows SCOBKEGAT LNUCFCARINSCOMPANY 29 rows TRUE TRUE TRUE
SCOBKEGAT LNUCFCOLLMASTTYPE 10 rows SCOBKEGAT LNUCFCOLLMASTTYPE 10 rows TRUE TRUE TRUE
SCOBKEGAT LNUCFCOLLOBJECTIVE 8 rows SCOBKEGAT LNUCFCOLLOBJECTIVE 8 rows TRUE TRUE TRUE
SCOBKEGAT LNUCFCOLLPRINTSET 27 rows SCOBKEGAT LNUCFCOLLPRINTSET 27 rows TRUE TRUE TRUE
SCOBKEGAT LNUCFCONTCCLCAUSE 3 rows SCOBKEGAT LNUCFCONTCCLCAUSE 3 rows TRUE TRUE TRUE
SCOBKEGAT LNUCFCONTRACTTYPE 4 rows SCOBKEGAT LNUCFCONTRACTTYPE 4 rows TRUE TRUE TRUE
SCOBKEGAT LNUCFLOANCOLLTYPE 8 rows SCOBKEGAT LNUCFLOANCOLLTYPE 8 rows TRUE TRUE TRUE
SCOBKEGAT LNUCFLOANGROUPCODE 3 rows SCOBKEGAT LNUCFLOANGROUPCODE 3 rows TRUE TRUE TRUE
SCOBKEGAT LNUCFLOANITEMTYPE 37 rows SCOBKEGAT LNUCFLOANITEMTYPE 37 rows TRUE TRUE TRUE
SCOBKEGAT LNUCFLOANOBJECTIVE 26 rows SCOBKEGAT LNUCFLOANOBJECTIVE 26 rows TRUE TRUE TRUE
SCOBKEGAT LNUCFLOANRCVSETDATE 1 rows SCOBKEGAT LNUCFLOANRCVSETDATE 1 rows TRUE TRUE TRUE
SCOBKEGAT LNUCFORIGIN 4 rows SCOBKEGAT LNUCFORIGIN 4 rows TRUE TRUE TRUE
SCOBKEGAT LNUCFPROBITEMTYPE 4 rows SCOBKEGAT LNUCFPROBITEMTYPE 4 rows TRUE TRUE TRUE
SCOBKEGAT LNUCFREPORTTYPE 21 rows SCOBKEGAT LNUCFREPORTTYPE 21 rows TRUE TRUE TRUE
SCOBKEGAT LNUCFREQSTATUS 8 rows SCOBKEGAT LNUCFREQSTATUS 8 rows TRUE TRUE TRUE
SCOBKEGAT LSCFLOANINTRATE 2 rows SCOBKEGAT LSCFLOANINTRATE 2 rows TRUE TRUE TRUE
SCOBKEGAT LSCFLOANINTRATEDET 2 rows SCOBKEGAT LSCFLOANINTRATEDET 2 rows TRUE TRUE TRUE
SCOBKEGAT LSGRPLOANPERMISS 2 rows SCOBKEGAT LSGRPLOANPERMISS 2 rows TRUE TRUE TRUE
SCOBKEGAT LSGRPMANGRTPERM 2 rows SCOBKEGAT LSGRPMANGRTPERM 2 rows TRUE TRUE TRUE
SCOBKEGAT LSGRPMANGRTPERMDET 6 rows SCOBKEGAT LSGRPMANGRTPERMDET 6 rows TRUE TRUE TRUE
SCOBKEGAT LSKPUCFKEEPITEMTYPE 3 rows SCOBKEGAT LSKPUCFKEEPITEMTYPE 3 rows TRUE TRUE TRUE
SCOBKEGAT LSLOANTYPE 2 rows SCOBKEGAT LSLOANTYPE 2 rows TRUE TRUE TRUE
SCOBKEGAT LSLOANTYPECLR 2 rows SCOBKEGAT LSLOANTYPECLR 2 rows TRUE TRUE TRUE
SCOBKEGAT LSLOANTYPEPERIOD 2 rows SCOBKEGAT LSLOANTYPEPERIOD 2 rows TRUE TRUE TRUE
SCOBKEGAT LSUCFLOANCOLLTYPE 1 rows SCOBKEGAT LSUCFLOANCOLLTYPE 1 rows TRUE TRUE TRUE
SCOBKEGAT LSUCFLOANITEMTYPE 33 rows SCOBKEGAT LSUCFLOANITEMTYPE 33 rows TRUE TRUE TRUE
SCOBKEGAT LSUCFLOANOBJECTIVE 1 rows SCOBKEGAT LSUCFLOANOBJECTIVE 1 rows TRUE TRUE TRUE
SCOBKEGAT LSUCFSLIPITEMTYPE 18 rows SCOBKEGAT LSUCFSLIPITEMTYPE 18 rows TRUE TRUE TRUE
SCOBKEGAT LSUCFSLIPTYPE 13 rows SCOBKEGAT LSUCFSLIPTYPE 13 rows TRUE TRUE TRUE
SCOBKEGAT MBDIVCONSTANT 1 rows SCOBKEGAT MBDIVCONSTANT 1 rows TRUE TRUE TRUE
SCOBKEGAT MBDIVESTIMATERATE 6 rows SCOBKEGAT MBDIVESTIMATERATE 6 rows TRUE TRUE TRUE
SCOBKEGAT MBDIVPAYTYPE 34 rows SCOBKEGAT MBDIVPAYTYPE 34 rows TRUE TRUE TRUE
SCOBKEGAT MBDIVRATE 24 rows SCOBKEGAT MBDIVRATE 24 rows TRUE TRUE TRUE
SCOBKEGAT MBDIVUCFCANCEL 1 rows SCOBKEGAT MBDIVUCFCANCEL 1 rows TRUE TRUE TRUE
SCOBKEGAT MBGAINDETAIL 11 rows SCOBKEGAT MBGAINDETAIL 11 rows TRUE TRUE TRUE
-- Confidential --
Page 22 of 39

