Page 222 - เอกสารตรวจรับระบบ dr site
P. 222
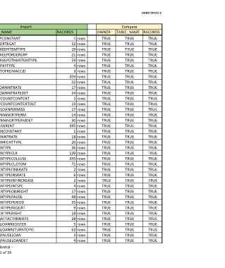
เอกสารแนบ 6
Export Import Compare
OWNER TABLE_NAME RACORDS OWNER TABLE_NAME RACORDS OWNER TABLE_NAME RACORDS
SCOBKEGAT KPKEEPCONSTANT 4 rows SCOBKEGAT KPKEEPCONSTANT 4 rows TRUE TRUE TRUE
SCOBKEGAT KPREPORTEGAT 52 rows SCOBKEGAT KPREPORTEGAT 52 rows TRUE TRUE TRUE
SCOBKEGAT KPUCFKEEPITEMTYPE 19 rows SCOBKEGAT KPUCFKEEPITEMTYPE 19 rows TRUE TRUE TRUE
SCOBKEGAT KPUCFKEEPORDERGRP 21 rows SCOBKEGAT KPUCFKEEPORDERGRP 21 rows TRUE TRUE TRUE
SCOBKEGAT KPUCFKEEPOTHERITEMTYPE 59 rows SCOBKEGAT KPUCFKEEPOTHERITEMTYPE 59 rows TRUE TRUE TRUE
SCOBKEGAT KPUCFPAYTYPE 4 rows SCOBKEGAT KPUCFPAYTYPE 4 rows TRUE TRUE TRUE
SCOBKEGAT KPUCFTOFROMACCID 3 rows SCOBKEGAT KPUCFTOFROMACCID 3 rows TRUE TRUE TRUE
SCOBKEGAT L11 359 rows SCOBKEGAT L11 359 rows TRUE TRUE TRUE
SCOBKEGAT L12 22 rows SCOBKEGAT L12 22 rows TRUE TRUE TRUE
SCOBKEGAT LNCFLOANINTRATE 17 rows SCOBKEGAT LNCFLOANINTRATE 17 rows TRUE TRUE TRUE
SCOBKEGAT LNCFLOANINTRATEDET 54 rows SCOBKEGAT LNCFLOANINTRATEDET 54 rows TRUE TRUE TRUE
SCOBKEGAT LNGRPCOUNTCONTGRT 5 rows SCOBKEGAT LNGRPCOUNTCONTGRT 5 rows TRUE TRUE TRUE
SCOBKEGAT LNGRPCOUNTCONTGRTDET 10 rows SCOBKEGAT LNGRPCOUNTCONTGRTDET 10 rows TRUE TRUE TRUE
SCOBKEGAT LNGRPLOANPERMISS 17 rows SCOBKEGAT LNGRPLOANPERMISS 17 rows TRUE TRUE TRUE
SCOBKEGAT LNGRPMANGRTPERM 14 rows SCOBKEGAT LNGRPMANGRTPERM 14 rows TRUE TRUE TRUE
SCOBKEGAT LNGRPMANGRTPERMDET 30 rows SCOBKEGAT LNGRPMANGRTPERMDET 30 rows TRUE TRUE TRUE
SCOBKEGAT LNHOUSERENT 395 rows SCOBKEGAT LNHOUSERENT 395 rows TRUE TRUE TRUE
SCOBKEGAT LNLOANCONSTANT 1 rows SCOBKEGAT LNLOANCONSTANT 1 rows TRUE TRUE TRUE
SCOBKEGAT LNLOANINTRATE 18 rows SCOBKEGAT LNLOANINTRATE 18 rows TRUE TRUE TRUE
SCOBKEGAT LNLOANRIGHTTYPE 20 rows SCOBKEGAT LNLOANRIGHTTYPE 20 rows TRUE TRUE TRUE
SCOBKEGAT LNLOANTYPE 36 rows SCOBKEGAT LNLOANTYPE 36 rows TRUE TRUE TRUE
SCOBKEGAT LNLOANTYPECLR 139 rows SCOBKEGAT LNLOANTYPECLR 139 rows TRUE TRUE TRUE
SCOBKEGAT LNLOANTYPECOLLUSE 345 rows SCOBKEGAT LNLOANTYPECOLLUSE 345 rows TRUE TRUE TRUE
SCOBKEGAT LNLOANTYPECUSTOM 71 rows SCOBKEGAT LNLOANTYPECUSTOM 71 rows TRUE TRUE TRUE
SCOBKEGAT LNLOANTYPEFINERATE 2 rows SCOBKEGAT LNLOANTYPEFINERATE 2 rows TRUE TRUE TRUE
SCOBKEGAT LNLOANTYPEINSRATE 6 rows SCOBKEGAT LNLOANTYPEINSRATE 6 rows TRUE TRUE TRUE
SCOBKEGAT LNLOANTYPEINTINCREASE 2 rows SCOBKEGAT LNLOANTYPEINTINCREASE 2 rows TRUE TRUE TRUE
SCOBKEGAT LNLOANTYPEINTSPC 4 rows SCOBKEGAT LNLOANTYPEINTSPC 4 rows TRUE TRUE TRUE
SCOBKEGAT LNLOANTYPEOBJRIGHT 17 rows SCOBKEGAT LNLOANTYPEOBJRIGHT 17 rows TRUE TRUE TRUE
SCOBKEGAT LNLOANTYPEPAUSE 48 rows SCOBKEGAT LNLOANTYPEPAUSE 48 rows TRUE TRUE TRUE
SCOBKEGAT LNLOANTYPEPERIOD 35 rows SCOBKEGAT LNLOANTYPEPERIOD 35 rows TRUE TRUE TRUE
SCOBKEGAT LNLOANTYPEREQGRT 9 rows SCOBKEGAT LNLOANTYPEREQGRT 9 rows TRUE TRUE TRUE
SCOBKEGAT LNLOANTYPERIGHT 18 rows SCOBKEGAT LNLOANTYPERIGHT 18 rows TRUE TRUE TRUE
SCOBKEGAT LNREQATTACTHMENTS 28 rows SCOBKEGAT LNREQATTACTHMENTS 28 rows TRUE TRUE TRUE
SCOBKEGAT LNREQLOANREGISTER 5 rows SCOBKEGAT LNREQLOANREGISTER 5 rows TRUE TRUE TRUE
SCOBKEGAT LNREQLOANRETURNTOPIC 63 rows SCOBKEGAT LNREQLOANRETURNTOPIC 63 rows TRUE TRUE TRUE
SCOBKEGAT LNREQPAUSELOAN 3 rows SCOBKEGAT LNREQPAUSELOAN 3 rows TRUE TRUE TRUE
SCOBKEGAT LNREQPAUSELOANDET 4 rows SCOBKEGAT LNREQPAUSELOANDET 4 rows TRUE TRUE TRUE
-- Confidential --
Page 21 of 39

