Page 220 - เอกสารตรวจรับระบบ dr site
P. 220
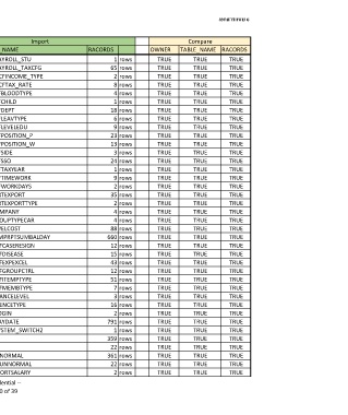
เอกสารแนบ 6
Export Import Compare
OWNER TABLE_NAME RACORDS OWNER TABLE_NAME RACORDS OWNER TABLE_NAME RACORDS
SCOBKEGAT HRNPAYROLL_STU 1 rows SCOBKEGAT HRNPAYROLL_STU 1 rows TRUE TRUE TRUE
SCOBKEGAT HRNPAYROLL_TAXCFG 65 rows SCOBKEGAT HRNPAYROLL_TAXCFG 65 rows TRUE TRUE TRUE
SCOBKEGAT HRNUCFINCOME_TYPE 2 rows SCOBKEGAT HRNUCFINCOME_TYPE 2 rows TRUE TRUE TRUE
SCOBKEGAT HRNUCFTAX_RATE 8 rows SCOBKEGAT HRNUCFTAX_RATE 8 rows TRUE TRUE TRUE
SCOBKEGAT HRUCFBLOODTYPE 4 rows SCOBKEGAT HRUCFBLOODTYPE 4 rows TRUE TRUE TRUE
SCOBKEGAT HRUCFCHILD 1 rows SCOBKEGAT HRUCFCHILD 1 rows TRUE TRUE TRUE
SCOBKEGAT HRUCFDEPT 18 rows SCOBKEGAT HRUCFDEPT 18 rows TRUE TRUE TRUE
SCOBKEGAT HRUCFLEAVTYPE 6 rows SCOBKEGAT HRUCFLEAVTYPE 6 rows TRUE TRUE TRUE
SCOBKEGAT HRUCFLEVELEDU 9 rows SCOBKEGAT HRUCFLEVELEDU 9 rows TRUE TRUE TRUE
SCOBKEGAT HRUCFPOSITION_P 23 rows SCOBKEGAT HRUCFPOSITION_P 23 rows TRUE TRUE TRUE
SCOBKEGAT HRUCFPOSITION_W 13 rows SCOBKEGAT HRUCFPOSITION_W 13 rows TRUE TRUE TRUE
SCOBKEGAT HRUCFSIDE 3 rows SCOBKEGAT HRUCFSIDE 3 rows TRUE TRUE TRUE
SCOBKEGAT HRUCFSSO 24 rows SCOBKEGAT HRUCFSSO 24 rows TRUE TRUE TRUE
SCOBKEGAT HRUCFTAXYEAR 1 rows SCOBKEGAT HRUCFTAXYEAR 1 rows TRUE TRUE TRUE
SCOBKEGAT HRUCFTIMEWORK 9 rows SCOBKEGAT HRUCFTIMEWORK 9 rows TRUE TRUE TRUE
SCOBKEGAT HRUCFWORKDAYS 2 rows SCOBKEGAT HRUCFWORKDAYS 2 rows TRUE TRUE TRUE
SCOBKEGAT IMPORTEXPORT 35 rows SCOBKEGAT IMPORTEXPORT 35 rows TRUE TRUE TRUE
SCOBKEGAT IMPORTEXPORTTYPE 2 rows SCOBKEGAT IMPORTEXPORTTYPE 2 rows TRUE TRUE TRUE
SCOBKEGAT INSCOMPANY 4 rows SCOBKEGAT INSCOMPANY 4 rows TRUE TRUE TRUE
SCOBKEGAT INSGROUPTYPECAR 4 rows SCOBKEGAT INSGROUPTYPECAR 4 rows TRUE TRUE TRUE
SCOBKEGAT INSLEVELCOST 88 rows SCOBKEGAT INSLEVELCOST 88 rows TRUE TRUE TRUE
SCOBKEGAT INSTEMPRPTSUMBALDAY 660 rows SCOBKEGAT INSTEMPRPTSUMBALDAY 660 rows TRUE TRUE TRUE
SCOBKEGAT INSUCFCASERESIGN 12 rows SCOBKEGAT INSUCFCASERESIGN 12 rows TRUE TRUE TRUE
SCOBKEGAT INSUCFDISEASE 15 rows SCOBKEGAT INSUCFDISEASE 15 rows TRUE TRUE TRUE
SCOBKEGAT INSUCFEXPEXCEL 43 rows SCOBKEGAT INSUCFEXPEXCEL 43 rows TRUE TRUE TRUE
SCOBKEGAT INSUCFGROUPCTRL 12 rows SCOBKEGAT INSUCFGROUPCTRL 12 rows TRUE TRUE TRUE
SCOBKEGAT INSUCFITEMPTYPE 51 rows SCOBKEGAT INSUCFITEMPTYPE 51 rows TRUE TRUE TRUE
SCOBKEGAT INSUCFMEMBTYPE 7 rows SCOBKEGAT INSUCFMEMBTYPE 7 rows TRUE TRUE TRUE
SCOBKEGAT INSURANCELEVEL 3 rows SCOBKEGAT INSURANCELEVEL 3 rows TRUE TRUE TRUE
SCOBKEGAT INSURENCETYPE 16 rows SCOBKEGAT INSURENCETYPE 16 rows TRUE TRUE TRUE
SCOBKEGAT IVR_LOGIN 2 rows SCOBKEGAT IVR_LOGIN 2 rows TRUE TRUE TRUE
SCOBKEGAT IVR_PAYDATE 791 rows SCOBKEGAT IVR_PAYDATE 791 rows TRUE TRUE TRUE
SCOBKEGAT IVR_SYSTEM_SWITCH2 1 rows SCOBKEGAT IVR_SYSTEM_SWITCH2 1 rows TRUE TRUE TRUE
SCOBKEGAT K11 359 rows SCOBKEGAT K11 359 rows TRUE TRUE TRUE
SCOBKEGAT K12 22 rows SCOBKEGAT K12 22 rows TRUE TRUE TRUE
SCOBKEGAT KATE_NORMAL 361 rows SCOBKEGAT KATE_NORMAL 361 rows TRUE TRUE TRUE
SCOBKEGAT KATE_UNNORMAL 22 rows SCOBKEGAT KATE_UNNORMAL 22 rows TRUE TRUE TRUE
SCOBKEGAT KPIMPORTSALARY 2 rows SCOBKEGAT KPIMPORTSALARY 2 rows TRUE TRUE TRUE
-- Confidential --
Page 20 of 39

