Page 14 - BAB III inovasi-1_Neat
P. 14

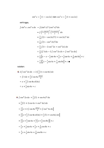
=              dan       =



                        sehingga,
                        ∫       .            = ∫







                                                             +
                                            = ∫ (       ) (        )




                                            =   ∫




                                            =   ∫


                                            =   ∫




                                            =   [∫          ∫             ∫          ]


                                            =   *                                           +


                                            =   *                         +

                     catatan:

                          ∫            =   ∫



                        = ∫        ∫


                        =     ∫


                        =





                      ∫               = ∫                  



                      = ∫                              



                      = *       ∫                     ∫             +


                      = *     ∫                   ∫                  +






                      = *               (            )+     





                      =                                       




                      =                                  
   9   10   11   12   13   14   15   16   17   18   19