Page 35 - FLIPBOOK MATEMATIKA BARISAN DAN DERET
P. 35
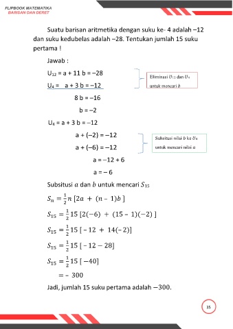
Suatu barisan aritmetika dengan suku ke- 4 adalah –12
dan suku kedubelas adalah –28. Tentukan jumlah 15 suku
pertama !
Jawab :
U = a + 11 b = –28
12
Eliminasi 12 dan 4
U = a + 3 b = –12 untuk mencari
4
8 b = –16
b = –2
U = a + 3 b = –12
4
a + (–2) = –12
Subsitusi nilai ke 4
a + (–6) = –12 untuk mencari nilai
a = –12 + 6
a = – 6
Subsitusi dan untuk mencari 15
1
= [2 + ( – 1) ]
2
1
15 = 15 [2(−6) + (15 – 1)(−2) ]
2
1
15 = 15 [ – 12 + 14(– 2)]
2
1
15 = 15 [ – 12 − 28]
2
1
15 = 15 [ −40]
2
= – 300
Jadi, jumlah 15 suku pertama adalah −300.
35

