Page 325 - 1300 Math Formulas
P. 325
CHAPTER 11. SERIES
−
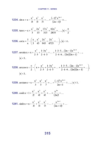
1234. ëáå ñ = ñ − ñ P + ñ R − ñ T + K+ ( ) ñN å O å +N ± K=
> P > R > T ( O + >N ) å
=
ñ P ñ O R NT ñ T SO ñ V π
1235. í~å ñ = ñ + + + + + KI= ñ < K=
P NR PNR OUPR O
=
N ñ ñ P ñ O R ñ O T
1236. Åçí ñ = − + + + +K I= ñ < πK=
ñ P QR VQR QTOR
=
ñ P N ⋅ ñP R N ⋅P ⋅R K ( åO −N )ñ O å +N
1237. ~êÅëáå ñ = ñ + + + K+ + KI=
O ⋅P O ⋅Q ⋅R O ⋅Q ⋅S (K åO ) ( O å )+N
ñ < NK=
=
π ñ P N⋅ ñ P R N⋅ P R ⋅ K ( åO − N )ñ O å+ N
1238. ~êÅÅçë = − ñ + + +K + +K I
ñ
O O P ⋅ O Q ⋅ R ⋅ O Q ⋅ ( S ⋅ K ) å ( O O å + ) N
ñ < NK=
=
−
ñ P ñ R ñ T ( ) ñN å O å +N
N
1239. ~êÅí~å ñ = ñ − + − + K+ ± KI= ñ ≤ K=
P R T O å +N
=
ñ O ñ Q ñ S ñ O å
1240. ÅçëÜ ñ =N + + + + K+ + K=
> O > Q > S ( O ) å >
=
ñ P ñ R ñ T ñ O å +N
1241. ëáåÜ ñ = ñ + + + + K+ + K=
> P > R ( > T O + >N ) å
=
=
=
=
=
315

