Page 512 - Basic Electrical Engineering
P. 512
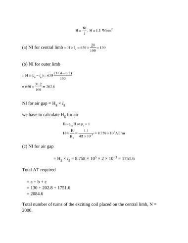
(a) NI for central limb
(b) NI for outer limb
NI for air gap = H × l g
g
we have to calculate H for air
g
(c) NI for air gap
−3
5
= H × l = 8.758 × 10 × 2 × 10 = 1751.6
g
g
Total AT required
= a + b + c
= 130 + 202.8 + 1751.6
= 2084.6
Total number of turns of the exciting coil placed on the central limb, N =
2000.

