Page 182 - เอกสารตรวจรับระบบ dr site
P. 182
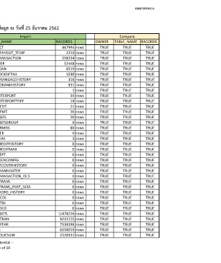
เอกสารแนบ 6
ผลการตรวจสอบการโอนถายฐานขอมูล ณ วันที่ 25 ธันวาคม 2562
Export Import Compare
OWNER TABLE_NAME RACORDS OWNER TABLE_NAME RACORDS OWNER TABLE_NAME RACORDS
CORECOOP ATMACT 467994 rows CORECOOP ATMACT 467994 rows TRUE TRUE TRUE
CORECOOP SLSLIPPAYOUT_TEMP 2210 rows CORECOOP SLSLIPPAYOUT_TEMP 2210 rows TRUE TRUE TRUE
CORECOOP ATMTRANSACTION 258234 rows CORECOOP ATMTRANSACTION 258234 rows TRUE TRUE TRUE
CORECOOP MEMBER 52448 rows CORECOOP MEMBER 52448 rows TRUE TRUE TRUE
CORECOOP ATMLOAN 6519 rows CORECOOP ATMLOAN 6519 rows TRUE TRUE TRUE
CORECOOP ATMLOCKDETAIL 1030 rows CORECOOP ATMLOCKDETAIL 1030 rows TRUE TRUE TRUE
CORECOOP ATMSAVINGACCHISTORY 316 rows CORECOOP ATMSAVINGACCHISTORY 316 rows TRUE TRUE TRUE
CORECOOP ATMTOBANKHISTORY 931 rows CORECOOP ATMTOBANKHISTORY 931 rows TRUE TRUE TRUE
CORECOOP COOP 1 rows CORECOOP COOP 1 rows TRUE TRUE TRUE
CORECOOP IMPORTEXPORT 34 rows CORECOOP IMPORTEXPORT 34 rows TRUE TRUE TRUE
CORECOOP IMPORTEXPORTTYPE 19 rows CORECOOP IMPORTEXPORTTYPE 19 rows TRUE TRUE TRUE
CORECOOP PBCATEDT 21 rows CORECOOP PBCATEDT 21 rows TRUE TRUE TRUE
CORECOOP PBCATFMT 20 rows CORECOOP PBCATFMT 20 rows TRUE TRUE TRUE
CORECOOP SECPAGES 20 rows CORECOOP SECPAGES 20 rows TRUE TRUE TRUE
CORECOOP SECPAGESGROUP 6 rows CORECOOP SECPAGESGROUP 6 rows TRUE TRUE TRUE
CORECOOP SECPERMISS 60 rows CORECOOP SECPERMISS 60 rows TRUE TRUE TRUE
CORECOOP SECUSER 9 rows CORECOOP SECUSER 9 rows TRUE TRUE TRUE
CORECOOP TESTTHAI 3 rows CORECOOP TESTTHAI 3 rows TRUE TRUE TRUE
CORECOOP ATMCREDITHISTORY 0 rows CORECOOP ATMCREDITHISTORY 0 rows TRUE TRUE TRUE
CORECOOP ATMCREDITMAX 0 rows CORECOOP ATMCREDITMAX 0 rows TRUE TRUE TRUE
CORECOOP ATMDEPT 0 rows CORECOOP ATMDEPT 0 rows TRUE TRUE TRUE
CORECOOP ATMLOCKCONFIG 0 rows CORECOOP ATMLOCKCONFIG 0 rows TRUE TRUE TRUE
CORECOOP ATMRECOVERHISTORY 0 rows CORECOOP ATMRECOVERHISTORY 0 rows TRUE TRUE TRUE
CORECOOP ATMTRANMASTER 0 rows CORECOOP ATMTRANMASTER 0 rows TRUE TRUE TRUE
CORECOOP ATMTRANSACTION_OLD 0 rows CORECOOP ATMTRANSACTION_OLD 0 rows TRUE TRUE TRUE
CORECOOP ATM_TRANS 0 rows CORECOOP ATM_TRANS 0 rows TRUE TRUE TRUE
CORECOOP ATM_TRANS_POST_SCSS 0 rows CORECOOP ATM_TRANS_POST_SCSS 0 rows TRUE TRUE TRUE
CORECOOP PASSWORD_HISTORY 0 rows CORECOOP PASSWORD_HISTORY 0 rows TRUE TRUE TRUE
CORECOOP PBCATCOL 0 rows CORECOOP PBCATCOL 0 rows TRUE TRUE TRUE
CORECOOP PBCATTBL 0 rows CORECOOP PBCATTBL 0 rows TRUE TRUE TRUE
CORECOOP PBCATVLD 0 rows CORECOOP PBCATVLD 0 rows TRUE TRUE TRUE
CTDSAVE SAVE_DETL 11478226 rows CTDSAVE SAVE_DETL 11478226 rows TRUE TRUE TRUE
CTDSAVE SAVE_TRAN 8235225 rows CTDSAVE SAVE_TRAN 8235225 rows TRUE TRUE TRUE
CTDSAVE SAVE_YEAR 7536396 rows CTDSAVE SAVE_YEAR 7536396 rows TRUE TRUE TRUE
CTDSAVE PBLOG 6556019 rows CTDSAVE PBLOG 6556019 rows TRUE TRUE TRUE
CTDSAVE SAVE_DUESUM 2526932 rows CTDSAVE SAVE_DUESUM 2526932 rows TRUE TRUE TRUE
-- Confidential --
Page 1 of 39

