Page 183 - เอกสารตรวจรับระบบ dr site
P. 183
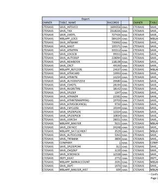
เอกสารแนบ 6
Export Import Compare
OWNER TABLE_NAME RACORDS OWNER TABLE_NAME RACORDS OWNER TABLE_NAME RACORDS
CTDSAVE SAVE_INTSVCO 1694356 rows CTDSAVE SAVE_INTSVCO 1694356 rows TRUE TRUE TRUE
CTDSAVE SAVE_TAX 2318226 rows CTDSAVE SAVE_TAX 2318226 rows TRUE TRUE TRUE
CTDSAVE SAVE_SMDTL 727426 rows CTDSAVE SAVE_SMDTL 727426 rows TRUE TRUE TRUE
CTDSAVE MBLAPP_LOGS 584104 rows CTDSAVE MBLAPP_LOGS 584104 rows TRUE TRUE TRUE
CTDSAVE SAVE_INTBANK 730992 rows CTDSAVE SAVE_INTBANK 730992 rows TRUE TRUE TRUE
CTDSAVE SAVE_MAST 135571 rows CTDSAVE SAVE_MAST 135571 rows TRUE TRUE TRUE
CTDSAVE SAVE_ATMTRN 335512 rows CTDSAVE SAVE_ATMTRN 335512 rows TRUE TRUE TRUE
CTDSAVE SAVE_LOGSCB 99355 rows CTDSAVE SAVE_LOGSCB 99355 rows TRUE TRUE TRUE
CTDSAVE SAVE_AUTODEP 228094 rows CTDSAVE SAVE_AUTODEP 228094 rows TRUE TRUE TRUE
CTDSAVE SAVE_NEWBOOK 118138 rows CTDSAVE SAVE_NEWBOOK 118138 rows TRUE TRUE TRUE
CTDSAVE SAVE_CRCT 49193 rows CTDSAVE SAVE_CRCT 49193 rows TRUE TRUE TRUE
CTDSAVE MBLAPP_REFCODE 24637 rows CTDSAVE MBLAPP_REFCODE 24637 rows TRUE TRUE TRUE
CTDSAVE SAVE_ATMCARD 13993 rows CTDSAVE SAVE_ATMCARD 13993 rows TRUE TRUE TRUE
CTDSAVE SAVE_ATMKTB 16234 rows CTDSAVE SAVE_ATMKTB 16234 rows TRUE TRUE TRUE
CTDSAVE SAVE_AUTODEP2553 29680 rows CTDSAVE SAVE_AUTODEP2553 29680 rows TRUE TRUE TRUE
CTDSAVE SAVE_CSHDTL 28194 rows CTDSAVE SAVE_CSHDTL 28194 rows TRUE TRUE TRUE
CTDSAVE SAVE_REQRETIRE 18142 rows CTDSAVE SAVE_REQRETIRE 18142 rows TRUE TRUE TRUE
CTDSAVE SAVE_SPLDEP 1347 rows CTDSAVE SAVE_SPLDEP 1347 rows TRUE TRUE TRUE
CTDSAVE SAVE_ATMADR 22585 rows CTDSAVE SAVE_ATMADR 22585 rows TRUE TRUE TRUE
CTDSAVE SAVE_ATMKTBMAPPING 19703 rows CTDSAVE SAVE_ATMKTBMAPPING 19703 rows TRUE TRUE TRUE
CTDSAVE SAVE_ATMSCBCANCEL 9733 rows CTDSAVE SAVE_ATMSCBCANCEL 9733 rows TRUE TRUE TRUE
CTDSAVE SAVE_FSPCLOSE 15544 rows CTDSAVE SAVE_FSPCLOSE 15544 rows TRUE TRUE TRUE
CTDSAVE SAVE_SPLDEPLOG 12324 rows CTDSAVE SAVE_SPLDEPLOG 12324 rows TRUE TRUE TRUE
CTDSAVE SAVE_SPLDEPSCB 10834 rows CTDSAVE SAVE_SPLDEPSCB 10834 rows TRUE TRUE TRUE
CTDSAVE SAVE_USRCSH 28051 rows CTDSAVE SAVE_USRCSH 28051 rows TRUE TRUE TRUE
CTDSAVE MBLAPP_MASTER 5651 rows CTDSAVE MBLAPP_MASTER 5651 rows TRUE TRUE TRUE
CTDSAVE SAVE_CNTACC 34248 rows CTDSAVE SAVE_CNTACC 34248 rows TRUE TRUE TRUE
CTDSAVE MBLAPP_SATTLEMENT 3529 rows CTDSAVE MBLAPP_SATTLEMENT 3529 rows TRUE TRUE TRUE
CTDSAVE SAVE_AUTOCLOSE 5265 rows CTDSAVE SAVE_AUTOCLOSE 5265 rows TRUE TRUE TRUE
CTDSAVE SAVE_TRFBANK 3809 rows CTDSAVE SAVE_TRFBANK 3809 rows TRUE TRUE TRUE
CTDSAVE COMPANY 1 rows CTDSAVE COMPANY 1 rows TRUE TRUE TRUE
CTDSAVE SAVE_SPLDEPCHK 315 rows CTDSAVE SAVE_SPLDEPCHK 315 rows TRUE TRUE TRUE
CTDSAVE SAVE_CHQDEP 3150 rows CTDSAVE SAVE_CHQDEP 3150 rows TRUE TRUE TRUE
CTDSAVE SAVE_SCBCHECK 12538 rows CTDSAVE SAVE_SCBCHECK 12538 rows TRUE TRUE TRUE
CTDSAVE DEPT_EGAT 2772 rows CTDSAVE DEPT_EGAT 2772 rows TRUE TRUE TRUE
CTDSAVE MBLAPP_BANKACCOUNT 2691 rows CTDSAVE MBLAPP_BANKACCOUNT 2691 rows TRUE TRUE TRUE
CTDSAVE SAVE_DEPT 1970 rows CTDSAVE SAVE_DEPT 1970 rows TRUE TRUE TRUE
CTDSAVE MBLAPP_MASTER_HIST 609 rows CTDSAVE MBLAPP_MASTER_HIST 609 rows TRUE TRUE TRUE
-- Confidential --
Page 2 of 39

