Page 186 - เอกสารตรวจรับระบบ dr site
P. 186
เอกสารแนบ 6
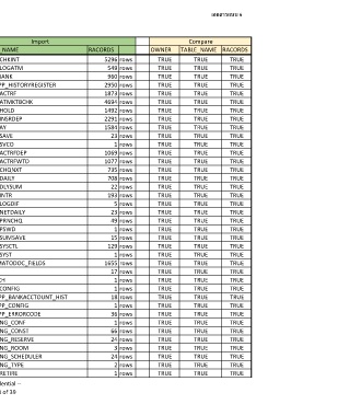
Export Import Compare
OWNER TABLE_NAME RACORDS OWNER TABLE_NAME RACORDS OWNER TABLE_NAME RACORDS
CTDSAVE SAVE_CHKINT 5296 rows CTDSAVE SAVE_CHKINT 5296 rows TRUE TRUE TRUE
CTDSAVE SAVE_LOGATM 549 rows CTDSAVE SAVE_LOGATM 549 rows TRUE TRUE TRUE
CTDSAVE BRANBANK 960 rows CTDSAVE BRANBANK 960 rows TRUE TRUE TRUE
CTDSAVE MBLAPP_HISTORYREGISTER 2950 rows CTDSAVE MBLAPP_HISTORYREGISTER 2950 rows TRUE TRUE TRUE
CTDSAVE SAVE_ACTRF 1873 rows CTDSAVE SAVE_ACTRF 1873 rows TRUE TRUE TRUE
CTDSAVE SAVE_ATMKTBCHK 4694 rows CTDSAVE SAVE_ATMKTBCHK 4694 rows TRUE TRUE TRUE
CTDSAVE SAVE_HOLD 1492 rows CTDSAVE SAVE_HOLD 1492 rows TRUE TRUE TRUE
CTDSAVE SAVE_INSRDEP 2291 rows CTDSAVE SAVE_INSRDEP 2291 rows TRUE TRUE TRUE
CTDSAVE HOLIDAY 1584 rows CTDSAVE HOLIDAY 1584 rows TRUE TRUE TRUE
CTDSAVE RULE_SAVE 23 rows CTDSAVE RULE_SAVE 23 rows TRUE TRUE TRUE
CTDSAVE RULE_SVCO 1 rows CTDSAVE RULE_SVCO 1 rows TRUE TRUE TRUE
CTDSAVE SAVE_ACTRFDEP 1069 rows CTDSAVE SAVE_ACTRFDEP 1069 rows TRUE TRUE TRUE
CTDSAVE SAVE_ACTRFWTD 1077 rows CTDSAVE SAVE_ACTRFWTD 1077 rows TRUE TRUE TRUE
CTDSAVE SAVE_CHQNXT 735 rows CTDSAVE SAVE_CHQNXT 735 rows TRUE TRUE TRUE
CTDSAVE SAVE_DAILY 708 rows CTDSAVE SAVE_DAILY 708 rows TRUE TRUE TRUE
CTDSAVE SAVE_DLYSUM 22 rows CTDSAVE SAVE_DLYSUM 22 rows TRUE TRUE TRUE
CTDSAVE SAVE_INTR 193 rows CTDSAVE SAVE_INTR 193 rows TRUE TRUE TRUE
CTDSAVE SAVE_LOGDIF 5 rows CTDSAVE SAVE_LOGDIF 5 rows TRUE TRUE TRUE
CTDSAVE SAVE_NETDAILY 23 rows CTDSAVE SAVE_NETDAILY 23 rows TRUE TRUE TRUE
CTDSAVE SAVE_PRNCHQ 49 rows CTDSAVE SAVE_PRNCHQ 49 rows TRUE TRUE TRUE
CTDSAVE SAVE_PSWD 1 rows CTDSAVE SAVE_PSWD 1 rows TRUE TRUE TRUE
CTDSAVE SAVE_SUMSAVE 15 rows CTDSAVE SAVE_SUMSAVE 15 rows TRUE TRUE TRUE
CTDSAVE SAVE_SYSCTL 129 rows CTDSAVE SAVE_SYSCTL 129 rows TRUE TRUE TRUE
CTDSAVE SAVE_SYST 1 rows CTDSAVE SAVE_SYST 1 rows TRUE TRUE TRUE
CTDSAVE SCHEMATODOC_FIELDS 1655 rows CTDSAVE SCHEMATODOC_FIELDS 1655 rows TRUE TRUE TRUE
CTDSAVE BANK 17 rows CTDSAVE BANK 17 rows TRUE TRUE TRUE
CTDSAVE BRANCH 1 rows CTDSAVE BRANCH 1 rows TRUE TRUE TRUE
CTDSAVE HELP_CONFIG 1 rows CTDSAVE HELP_CONFIG 1 rows TRUE TRUE TRUE
CTDSAVE MBLAPP_BANKACCTOUNT_HIST 18 rows CTDSAVE MBLAPP_BANKACCTOUNT_HIST 18 rows TRUE TRUE TRUE
CTDSAVE MBLAPP_CONFIG 1 rows CTDSAVE MBLAPP_CONFIG 1 rows TRUE TRUE TRUE
CTDSAVE MBLAPP_ERRORCODE 36 rows CTDSAVE MBLAPP_ERRORCODE 36 rows TRUE TRUE TRUE
CTDSAVE MEETING_CONF 1 rows CTDSAVE MEETING_CONF 1 rows TRUE TRUE TRUE
CTDSAVE MEETING_CONST 66 rows CTDSAVE MEETING_CONST 66 rows TRUE TRUE TRUE
CTDSAVE MEETING_RESERVE 24 rows CTDSAVE MEETING_RESERVE 24 rows TRUE TRUE TRUE
CTDSAVE MEETING_ROOM 3 rows CTDSAVE MEETING_ROOM 3 rows TRUE TRUE TRUE
CTDSAVE MEETING_SCHEDULER 24 rows CTDSAVE MEETING_SCHEDULER 24 rows TRUE TRUE TRUE
CTDSAVE MEETING_TYPE 2 rows CTDSAVE MEETING_TYPE 2 rows TRUE TRUE TRUE
CTDSAVE RULE_RETIRE 1 rows CTDSAVE RULE_RETIRE 1 rows TRUE TRUE TRUE
-- Confidential --
Page 3 of 39

