Page 190 - เอกสารตรวจรับระบบ dr site
P. 190
เอกสารแนบ 6
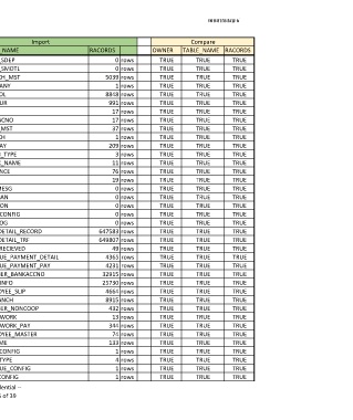
Export Import Compare
OWNER TABLE_NAME RACORDS OWNER TABLE_NAME RACORDS OWNER TABLE_NAME RACORDS
CTDSAVE TEMP_SDEP 0 rows CTDSAVE TEMP_SDEP 0 rows TRUE TRUE TRUE
CTDSAVE TEMP_SMDTL 0 rows CTDSAVE TEMP_SMDTL 0 rows TRUE TRUE TRUE
CTDSYST BRANCH_MST 5039 rows CTDSYST BRANCH_MST 5039 rows TRUE TRUE TRUE
CTDSYST COMPANY 1 rows CTDSYST COMPANY 1 rows TRUE TRUE TRUE
CTDSYST TAMBOL 8848 rows CTDSYST TAMBOL 8848 rows TRUE TRUE TRUE
CTDSYST AMPHUR 991 rows CTDSYST AMPHUR 991 rows TRUE TRUE TRUE
CTDSYST BANK 17 rows CTDSYST BANK 17 rows TRUE TRUE TRUE
CTDSYST BANKACNO 17 rows CTDSYST BANKACNO 17 rows TRUE TRUE TRUE
CTDSYST BANK_MST 37 rows CTDSYST BANK_MST 37 rows TRUE TRUE TRUE
CTDSYST BRANCH 1 rows CTDSYST BRANCH 1 rows TRUE TRUE TRUE
CTDSYST HOLIDAY 209 rows CTDSYST HOLIDAY 209 rows TRUE TRUE TRUE
CTDSYST MEMB_TYPE 3 rows CTDSYST MEMB_TYPE 3 rows TRUE TRUE TRUE
CTDSYST PREFIX_NAME 11 rows CTDSYST PREFIX_NAME 11 rows TRUE TRUE TRUE
CTDSYST PROVINCE 76 rows CTDSYST PROVINCE 76 rows TRUE TRUE TRUE
CTDSYST USR 19 rows CTDSYST USR 19 rows TRUE TRUE TRUE
CTDSYST ERR_MESG 0 rows CTDSYST ERR_MESG 0 rows TRUE TRUE TRUE
CTDSYST MOOBAN 0 rows CTDSYST MOOBAN 0 rows TRUE TRUE TRUE
CTDSYST POSITION 0 rows CTDSYST POSITION 0 rows TRUE TRUE TRUE
CTDSYST RULE_CONFIG 0 rows CTDSYST RULE_CONFIG 0 rows TRUE TRUE TRUE
CTDSYST USERLOG 0 rows CTDSYST USERLOG 0 rows TRUE TRUE TRUE
EGATIPAY IPAY_DETAIL_RECORD 647583 rows EGATIPAY IPAY_DETAIL_RECORD 647583 rows TRUE TRUE TRUE
EGATIPAY IPAY_DETAIL_TRF 649807 rows EGATIPAY IPAY_DETAIL_TRF 649807 rows TRUE TRUE TRUE
EGATIPAY HELP_RECIEVED 49 rows EGATIPAY HELP_RECIEVED 49 rows TRUE TRUE TRUE
EGATIPAY ICHEQUE_PAYMENT_DETAIL 4365 rows EGATIPAY ICHEQUE_PAYMENT_DETAIL 4365 rows TRUE TRUE TRUE
EGATIPAY ICHEQUE_PAYMENT_PAY 4231 rows EGATIPAY ICHEQUE_PAYMENT_PAY 4231 rows TRUE TRUE TRUE
EGATIPAY MEMBER_BANKACCNO 32915 rows EGATIPAY MEMBER_BANKACCNO 32915 rows TRUE TRUE TRUE
EGATIPAY CUST_INFO 25730 rows EGATIPAY CUST_INFO 25730 rows TRUE TRUE TRUE
EGATIPAY EMPLOYEE_SLIP 4664 rows EGATIPAY EMPLOYEE_SLIP 4664 rows TRUE TRUE TRUE
EGATIPAY FI_BRANCH 8915 rows EGATIPAY FI_BRANCH 8915 rows TRUE TRUE TRUE
EGATIPAY MEMBER_NONCOOP 432 rows EGATIPAY MEMBER_NONCOOP 432 rows TRUE TRUE TRUE
EGATIPAY DEPT_WORK 13 rows EGATIPAY DEPT_WORK 13 rows TRUE TRUE TRUE
EGATIPAY DEPT_WORK_PAY 344 rows EGATIPAY DEPT_WORK_PAY 344 rows TRUE TRUE TRUE
EGATIPAY EMPLOYEE_MASTER 74 rows EGATIPAY EMPLOYEE_MASTER 74 rows TRUE TRUE TRUE
EGATIPAY FI_NAME 133 rows EGATIPAY FI_NAME 133 rows TRUE TRUE TRUE
EGATIPAY HELP_CONFIG 1 rows EGATIPAY HELP_CONFIG 1 rows TRUE TRUE TRUE
EGATIPAY HELP_TYPE 4 rows EGATIPAY HELP_TYPE 4 rows TRUE TRUE TRUE
EGATIPAY ICHEQUE_CONFIG 1 rows EGATIPAY ICHEQUE_CONFIG 1 rows TRUE TRUE TRUE
EGATIPAY IPAY_CONFIG 1 rows EGATIPAY IPAY_CONFIG 1 rows TRUE TRUE TRUE
-- Confidential --
Page 5 of 39

