Page 195 - เอกสารตรวจรับระบบ dr site
P. 195
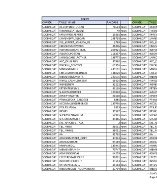
เอกสารแนบ 6
Export Import Compare
OWNER TABLE_NAME RACORDS OWNER TABLE_NAME RACORDS OWNER TABLE_NAME RACORDS
SCOBKEGAT BILLPAYMENTDETAIL 76603 rows SCOBKEGAT BILLPAYMENTDETAIL 76603 rows TRUE TRUE TRUE
SCOBKEGAT FINBANKSTATEMENT 49 rows SCOBKEGAT FINBANKSTATEMENT 49 rows TRUE TRUE TRUE
SCOBKEGAT KPRCVPROCREPORT 13895 rows SCOBKEGAT KPRCVPROCREPORT 13895 rows TRUE TRUE TRUE
SCOBKEGAT LNMEMBPAUSELOAN 148738 rows SCOBKEGAT LNMEMBPAUSELOAN 148738 rows TRUE TRUE TRUE
SCOBKEGAT SYS_EXPORT_SCHEMA_01 2769 rows SCOBKEGAT SYS_EXPORT_SCHEMA_01 2769 rows TRUE TRUE TRUE
SCOBKEGAT CMUSERSACTIVITIES 26206 rows SCOBKEGAT CMUSERSACTIVITIES 26206 rows TRUE TRUE TRUE
SCOBKEGAT INSFORCELOANDETAIL 209925 rows SCOBKEGAT INSFORCELOANDETAIL 209925 rows TRUE TRUE TRUE
SCOBKEGAT INSGROUPDETAIL 116257 rows SCOBKEGAT INSGROUPDETAIL 116257 rows TRUE TRUE TRUE
SCOBKEGAT LNREQLOANCLROTHER 189775 rows SCOBKEGAT LNREQLOANCLROTHER 189775 rows TRUE TRUE TRUE
SCOBKEGAT ACC_DELSERIES 37990 rows SCOBKEGAT ACC_DELSERIES 37990 rows TRUE TRUE TRUE
SCOBKEGAT FINCASH_CONTROL 63356 rows SCOBKEGAT FINCASH_CONTROL 63356 rows TRUE TRUE TRUE
SCOBKEGAT MBDIVMEMBER 249111 rows SCOBKEGAT MBDIVMEMBER 249111 rows TRUE TRUE TRUE
SCOBKEGAT CMCLSMTHSHRLONBAL 118020 rows SCOBKEGAT CMCLSMTHSHRLONBAL 118020 rows TRUE TRUE TRUE
SCOBKEGAT MBMEMBMONEYTR 143675 rows SCOBKEGAT MBMEMBMONEYTR 143675 rows TRUE TRUE TRUE
SCOBKEGAT FINRQ_CASHFLOWSTAT 66420 rows SCOBKEGAT FINRQ_CASHFLOWSTAT 66420 rows TRUE TRUE TRUE
SCOBKEGAT INSREQNEW 32212 rows SCOBKEGAT INSREQNEW 32212 rows TRUE TRUE TRUE
SCOBKEGAT KPTEMPRECEIVE 31126 rows SCOBKEGAT KPTEMPRECEIVE 31126 rows TRUE TRUE TRUE
SCOBKEGAT SLSLIPPAYOUTDET 127838 rows SCOBKEGAT SLSLIPPAYOUTDET 127838 rows TRUE TRUE TRUE
SCOBKEGAT DPDEPTMASTER 21600 rows SCOBKEGAT DPDEPTMASTER 21600 rows TRUE TRUE TRUE
SCOBKEGAT PTNMLSTOCK_CARDDEB 6886 rows SCOBKEGAT PTNMLSTOCK_CARDDEB 6886 rows TRUE TRUE TRUE
SCOBKEGAT ACCSUMLEDGERPERIOD 130766 rows SCOBKEGAT ACCSUMLEDGERPERIOD 130766 rows TRUE TRUE TRUE
SCOBKEGAT PTSLPSLIPDEA 6323 rows SCOBKEGAT PTSLPSLIPDEA 6323 rows TRUE TRUE TRUE
SCOBKEGAT RPSMS 33927 rows SCOBKEGAT RPSMS 33927 rows TRUE TRUE TRUE
SCOBKEGAT SHPAYMENTADJUST 57965 rows SCOBKEGAT SHPAYMENTADJUST 57965 rows TRUE TRUE TRUE
SCOBKEGAT SHSHAREMASTER 49486 rows SCOBKEGAT SHSHAREMASTER 49486 rows TRUE TRUE TRUE
SCOBKEGAT SYS_APPORVE_TASK 2 rows SCOBKEGAT SYS_APPORVE_TASK 2 rows TRUE TRUE TRUE
SCOBKEGAT TBL_MNM 39051 rows SCOBKEGAT TBL_MNM 39051 rows TRUE TRUE TRUE
SCOBKEGAT TBL_MNM2 39051 rows SCOBKEGAT TBL_MNM2 39051 rows TRUE TRUE TRUE
SCOBKEGAT AA 31792 rows SCOBKEGAT AA 31792 rows TRUE TRUE TRUE
SCOBKEGAT ASNREQMASTER_COPY 31914 rows SCOBKEGAT ASNREQMASTER_COPY 31914 rows TRUE TRUE TRUE
SCOBKEGAT ASNSUMSHARE 94189 rows SCOBKEGAT ASNSUMSHARE 94189 rows TRUE TRUE TRUE
SCOBKEGAT HRNPAYROLL 133945 rows SCOBKEGAT HRNPAYROLL 133945 rows TRUE TRUE TRUE
SCOBKEGAT MBMEMBPUNISH 70747 rows SCOBKEGAT MBMEMBPUNISH 70747 rows TRUE TRUE TRUE
SCOBKEGAT ASNPENSIONCAL 64279 rows SCOBKEGAT ASNPENSIONCAL 64279 rows TRUE TRUE TRUE
SCOBKEGAT ETCCTRLSTATEMENT 92811 rows SCOBKEGAT ETCCTRLSTATEMENT 92811 rows TRUE TRUE TRUE
SCOBKEGAT INSREQCHGGROUP 33563 rows SCOBKEGAT INSREQCHGGROUP 33563 rows TRUE TRUE TRUE
SCOBKEGAT KPTEMPRECEIVE2 31184 rows SCOBKEGAT KPTEMPRECEIVE2 31184 rows TRUE TRUE TRUE
SCOBKEGAT MBDIVREQMETHODPAYMENT 31704 rows SCOBKEGAT MBDIVREQMETHODPAYMENT 31704 rows TRUE TRUE TRUE
-- Confidential --
Page 8 of 39

