Page 194 - เอกสารตรวจรับระบบ dr site
P. 194
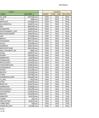
เอกสารแนบ 6
Export Import Compare
OWNER TABLE_NAME RACORDS OWNER TABLE_NAME RACORDS OWNER TABLE_NAME RACORDS
SCOBKEGAT ATM_FIN_AMT 446346 rows SCOBKEGAT ATM_FIN_AMT 446346 rows TRUE TRUE TRUE
SCOBKEGAT DPDEPTSLIP 398 rows SCOBKEGAT DPDEPTSLIP 398 rows TRUE TRUE TRUE
SCOBKEGAT SLORDERPAYOUT 256469 rows SCOBKEGAT SLORDERPAYOUT 256469 rows TRUE TRUE TRUE
SCOBKEGAT FINTABLEUSERDETAIL 318697 rows SCOBKEGAT FINTABLEUSERDETAIL 318697 rows TRUE TRUE TRUE
SCOBKEGAT ASNSHARE 896930 rows SCOBKEGAT ASNSHARE 896930 rows TRUE TRUE TRUE
SCOBKEGAT INSGROUPMASTER 156831 rows SCOBKEGAT INSGROUPMASTER 156831 rows TRUE TRUE TRUE
SCOBKEGAT INSGROUPSTATEMENT_COPY 328471 rows SCOBKEGAT INSGROUPSTATEMENT_COPY 328471 rows TRUE TRUE TRUE
SCOBKEGAT MBDIVMETHODPAYMENT 358644 rows SCOBKEGAT MBDIVMETHODPAYMENT 358644 rows TRUE TRUE TRUE
SCOBKEGAT WEBAUDIT 457369 rows SCOBKEGAT WEBAUDIT 457369 rows TRUE TRUE TRUE
SCOBKEGAT ASNSHARECAL 834714 rows SCOBKEGAT ASNSHARECAL 834714 rows TRUE TRUE TRUE
SCOBKEGAT MBDIVSTATEMENT 399571 rows SCOBKEGAT MBDIVSTATEMENT 399571 rows TRUE TRUE TRUE
SCOBKEGAT ARC_DETAILS 510648 rows SCOBKEGAT ARC_DETAILS 510648 rows TRUE TRUE TRUE
SCOBKEGAT LNREQLOANCOLL 256611 rows SCOBKEGAT LNREQLOANCOLL 256611 rows TRUE TRUE TRUE
SCOBKEGAT SLORDERPAYOUTCLEAR 260513 rows SCOBKEGAT SLORDERPAYOUTCLEAR 260513 rows TRUE TRUE TRUE
SCOBKEGAT TBL_CARD_STATEMENT_MY 2068 rows SCOBKEGAT TBL_CARD_STATEMENT_MY 2068 rows TRUE TRUE TRUE
SCOBKEGAT LNCONTCOLL 299907 rows SCOBKEGAT LNCONTCOLL 299907 rows TRUE TRUE TRUE
SCOBKEGAT RPDPMTHIMP 540346 rows SCOBKEGAT RPDPMTHIMP 540346 rows TRUE TRUE TRUE
SCOBKEGAT MBMEMBMASTER 62979 rows SCOBKEGAT MBMEMBMASTER 62979 rows TRUE TRUE TRUE
SCOBKEGAT SLCLSMTHBALANCE 491940 rows SCOBKEGAT SLCLSMTHBALANCE 491940 rows TRUE TRUE TRUE
SCOBKEGAT KPTEMPRECEIVEDET 105492 rows SCOBKEGAT KPTEMPRECEIVEDET 105492 rows TRUE TRUE TRUE
SCOBKEGAT LNESTLOANSHORTLONG 342863 rows SCOBKEGAT LNESTLOANSHORTLONG 342863 rows TRUE TRUE TRUE
SCOBKEGAT ASNRECEIVEMONTH 261650 rows SCOBKEGAT ASNRECEIVEMONTH 261650 rows TRUE TRUE TRUE
SCOBKEGAT RPDPMTHEXP 541239 rows SCOBKEGAT RPDPMTHEXP 541239 rows TRUE TRUE TRUE
SCOBKEGAT SLTRANSPAYIN 231918 rows SCOBKEGAT SLTRANSPAYIN 231918 rows TRUE TRUE TRUE
SCOBKEGAT DPDEPTTRAN 225768 rows SCOBKEGAT DPDEPTTRAN 225768 rows TRUE TRUE TRUE
SCOBKEGAT INSGROUPMASTER_COPY 101628 rows SCOBKEGAT INSGROUPMASTER_COPY 101628 rows TRUE TRUE TRUE
SCOBKEGAT TBL_THE_END 1702 rows SCOBKEGAT TBL_THE_END 1702 rows TRUE TRUE TRUE
SCOBKEGAT VCVOUCHER 163024 rows SCOBKEGAT VCVOUCHER 163024 rows TRUE TRUE TRUE
SCOBKEGAT ASNSLIPPAYOUT 163417 rows SCOBKEGAT ASNSLIPPAYOUT 163417 rows TRUE TRUE TRUE
SCOBKEGAT KPARREARMASTER 134806 rows SCOBKEGAT KPARREARMASTER 134806 rows TRUE TRUE TRUE
SCOBKEGAT KPTEMPRECEIVEDET2 105548 rows SCOBKEGAT KPTEMPRECEIVEDET2 105548 rows TRUE TRUE TRUE
SCOBKEGAT LNCONTRCVDISKDET 124403 rows SCOBKEGAT LNCONTRCVDISKDET 124403 rows TRUE TRUE TRUE
SCOBKEGAT MBDIVMASTER 231285 rows SCOBKEGAT MBDIVMASTER 231285 rows TRUE TRUE TRUE
SCOBKEGAT ASNREQMASTER 69434 rows SCOBKEGAT ASNREQMASTER 69434 rows TRUE TRUE TRUE
SCOBKEGAT FINSLIP_BANK 16 rows SCOBKEGAT FINSLIP_BANK 16 rows TRUE TRUE TRUE
SCOBKEGAT LNCONTKEYHISTORY 81097 rows SCOBKEGAT LNCONTKEYHISTORY 81097 rows TRUE TRUE TRUE
SCOBKEGAT DPDEPTPRNCFIXED 40 rows SCOBKEGAT DPDEPTPRNCFIXED 40 rows TRUE TRUE TRUE
SCOBKEGAT LNCONTMASTER_COPY 31548 rows SCOBKEGAT LNCONTMASTER_COPY 31548 rows TRUE TRUE TRUE
-- Confidential --
Page 7 of 39

