Page 192 - เอกสารตรวจรับระบบ dr site
P. 192
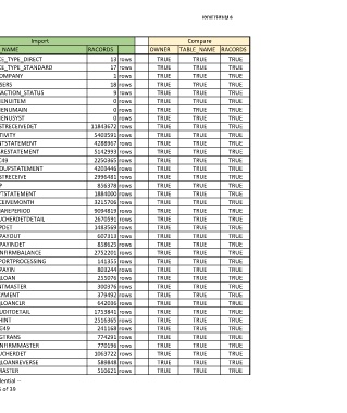
เอกสารแนบ 6
Export Import Compare
OWNER TABLE_NAME RACORDS OWNER TABLE_NAME RACORDS OWNER TABLE_NAME RACORDS
EGATIPAY SERVICE_TYPE_DIRECT 13 rows EGATIPAY SERVICE_TYPE_DIRECT 13 rows TRUE TRUE TRUE
EGATIPAY SERVICE_TYPE_STANDARD 17 rows EGATIPAY SERVICE_TYPE_STANDARD 17 rows TRUE TRUE TRUE
EGATIPAY TBL_COMPANY 1 rows EGATIPAY TBL_COMPANY 1 rows TRUE TRUE TRUE
EGATIPAY TBL_USERS 18 rows EGATIPAY TBL_USERS 18 rows TRUE TRUE TRUE
EGATIPAY TRANSACTION_STATUS 9 rows EGATIPAY TRANSACTION_STATUS 9 rows TRUE TRUE TRUE
EGATIPAY TBL_MENUITEM 0 rows EGATIPAY TBL_MENUITEM 0 rows TRUE TRUE TRUE
EGATIPAY TBL_MENUMAIN 0 rows EGATIPAY TBL_MENUMAIN 0 rows TRUE TRUE TRUE
EGATIPAY TBL_MENUSYST 0 rows EGATIPAY TBL_MENUSYST 0 rows TRUE TRUE TRUE
SCOBKEGAT KPMASTRECEIVEDET 11843672 rows SCOBKEGAT KPMASTRECEIVEDET 11843672 rows TRUE TRUE TRUE
SCOBKEGAT AMACTIVITY 5403591 rows SCOBKEGAT AMACTIVITY 5403591 rows TRUE TRUE TRUE
SCOBKEGAT LNCONTSTATEMENT 4288967 rows SCOBKEGAT LNCONTSTATEMENT 4288967 rows TRUE TRUE TRUE
SCOBKEGAT SHSHARESTATEMENT 5142993 rows SCOBKEGAT SHSHARESTATEMENT 5142993 rows TRUE TRUE TRUE
SCOBKEGAT DEDUC49 2250365 rows SCOBKEGAT DEDUC49 2250365 rows TRUE TRUE TRUE
SCOBKEGAT INSGROUPSTATEMENT 4203446 rows SCOBKEGAT INSGROUPSTATEMENT 4203446 rows TRUE TRUE TRUE
SCOBKEGAT KPMASTRECEIVE 2996481 rows SCOBKEGAT KPMASTRECEIVE 2996481 rows TRUE TRUE TRUE
SCOBKEGAT FINSLIP 856378 rows SCOBKEGAT FINSLIP 856378 rows TRUE TRUE TRUE
SCOBKEGAT DPDEPTSTATEMENT 1884000 rows SCOBKEGAT DPDEPTSTATEMENT 1884000 rows TRUE TRUE TRUE
SCOBKEGAT INSRECEIVEMONTH 3215706 rows SCOBKEGAT INSRECEIVEMONTH 3215706 rows TRUE TRUE TRUE
SCOBKEGAT ASNSHAREPERIOD 9094819 rows SCOBKEGAT ASNSHAREPERIOD 9094819 rows TRUE TRUE TRUE
SCOBKEGAT VCVOUCHERDETDETAIL 2670591 rows SCOBKEGAT VCVOUCHERDETDETAIL 2670591 rows TRUE TRUE TRUE
SCOBKEGAT FINSLIPDET 1483569 rows SCOBKEGAT FINSLIPDET 1483569 rows TRUE TRUE TRUE
SCOBKEGAT SLSLIPPAYOUT 607313 rows SCOBKEGAT SLSLIPPAYOUT 607313 rows TRUE TRUE TRUE
SCOBKEGAT SLSLIPPAYINDET 858625 rows SCOBKEGAT SLSLIPPAYINDET 858625 rows TRUE TRUE TRUE
SCOBKEGAT CMCONFIRMBALANCE 2752201 rows SCOBKEGAT CMCONFIRMBALANCE 2752201 rows TRUE TRUE TRUE
SCOBKEGAT CMREPORTPROCESSING 141355 rows SCOBKEGAT CMREPORTPROCESSING 141355 rows TRUE TRUE TRUE
SCOBKEGAT SLSLIPPAYIN 803244 rows SCOBKEGAT SLSLIPPAYIN 803244 rows TRUE TRUE TRUE
SCOBKEGAT LNREQLOAN 255076 rows SCOBKEGAT LNREQLOAN 255076 rows TRUE TRUE TRUE
SCOBKEGAT LNCONTMASTER 300376 rows SCOBKEGAT LNCONTMASTER 300376 rows TRUE TRUE TRUE
SCOBKEGAT BILLPAYMENT 379492 rows SCOBKEGAT BILLPAYMENT 379492 rows TRUE TRUE TRUE
SCOBKEGAT LNREQLOANCLR 642036 rows SCOBKEGAT LNREQLOANCLR 642036 rows TRUE TRUE TRUE
SCOBKEGAT WEBAUDITDETAIL 1753841 rows SCOBKEGAT WEBAUDITDETAIL 1753841 rows TRUE TRUE TRUE
SCOBKEGAT LNMTHINT 2516365 rows SCOBKEGAT LNMTHINT 2516365 rows TRUE TRUE TRUE
SCOBKEGAT SAVING49 241168 rows SCOBKEGAT SAVING49 241168 rows TRUE TRUE TRUE
SCOBKEGAT SYSLOGTRANS 774291 rows SCOBKEGAT SYSLOGTRANS 774291 rows TRUE TRUE TRUE
SCOBKEGAT CMCONFIRMMASTER 770196 rows SCOBKEGAT CMCONFIRMMASTER 770196 rows TRUE TRUE TRUE
SCOBKEGAT VCVOUCHERDET 1063722 rows SCOBKEGAT VCVOUCHERDET 1063722 rows TRUE TRUE TRUE
SCOBKEGAT LNREQLOANREVERSE 589848 rows SCOBKEGAT LNREQLOANREVERSE 589848 rows TRUE TRUE TRUE
SCOBKEGAT ARC_MASTER 510621 rows SCOBKEGAT ARC_MASTER 510621 rows TRUE TRUE TRUE
-- Confidential --
Page 6 of 39

