Page 198 - เอกสารตรวจรับระบบ dr site
P. 198
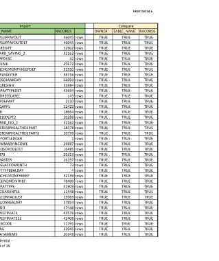
เอกสารแนบ 6
Export Import Compare
OWNER TABLE_NAME RACORDS OWNER TABLE_NAME RACORDS OWNER TABLE_NAME RACORDS
SCOBKEGAT MBDIVSLIPPAYOUT 46045 rows SCOBKEGAT MBDIVSLIPPAYOUT 46045 rows TRUE TRUE TRUE
SCOBKEGAT MBDIVSLIPPAYOUTDET 46045 rows SCOBKEGAT MBDIVSLIPPAYOUTDET 46045 rows TRUE TRUE TRUE
SCOBKEGAT SHSHAREGIFT 52902 rows SCOBKEGAT SHSHAREGIFT 52902 rows TRUE TRUE TRUE
SCOBKEGAT TBL_CARD_SAVING_2 32162 rows SCOBKEGAT TBL_CARD_SAVING_2 32162 rows TRUE TRUE TRUE
SCOBKEGAT VCTEMPDESC 42 rows SCOBKEGAT VCTEMPDESC 42 rows TRUE TRUE TRUE
SCOBKEGAT AGRECEIVE 25672 rows SCOBKEGAT AGRECEIVE 25672 rows TRUE TRUE TRUE
SCOBKEGAT DPREQCHGMONTHKEEPDET 32350 rows SCOBKEGAT DPREQCHGMONTHKEEPDET 32350 rows TRUE TRUE TRUE
SCOBKEGAT ETCCTRLMASTER 38716 rows SCOBKEGAT ETCCTRLMASTER 38716 rows TRUE TRUE TRUE
SCOBKEGAT FINCLOSEBANKDAY 66093 rows SCOBKEGAT FINCLOSEBANKDAY 66093 rows TRUE TRUE TRUE
SCOBKEGAT INSREQRESIGN 33984 rows SCOBKEGAT INSREQRESIGN 33984 rows TRUE TRUE TRUE
SCOBKEGAT KPREQPAYTYPEDET 43694 rows SCOBKEGAT KPREQPAYTYPEDET 43694 rows TRUE TRUE TRUE
SCOBKEGAT MBADDRESSLABEL 143 rows SCOBKEGAT MBADDRESSLABEL 143 rows TRUE TRUE TRUE
SCOBKEGAT MBIMPDEPART 2110 rows SCOBKEGAT MBIMPDEPART 2110 rows TRUE TRUE TRUE
SCOBKEGAT MBREQAPPL 12422 rows SCOBKEGAT MBREQAPPL 12422 rows TRUE TRUE TRUE
SCOBKEGAT TBLOTB 18664 rows SCOBKEGAT TBLOTB 18664 rows TRUE TRUE TRUE
SCOBKEGAT TBL_0110DEPT2 20288 rows SCOBKEGAT TBL_0110DEPT2 20288 rows TRUE TRUE TRUE
SCOBKEGAT TBL_CARD_ISO_2 32162 rows SCOBKEGAT TBL_CARD_ISO_2 32162 rows TRUE TRUE TRUE
SCOBKEGAT AA_INSTEMPHEALTHDEPART 18578 rows SCOBKEGAT AA_INSTEMPHEALTHDEPART 18578 rows TRUE TRUE TRUE
SCOBKEGAT AA_INSTEMPHEALTHDEPART2 20799 rows SCOBKEGAT AA_INSTEMPHEALTHDEPART2 20799 rows TRUE TRUE TRUE
SCOBKEGAT ACCREPORTLEDGER 1 rows SCOBKEGAT ACCREPORTLEDGER 1 rows TRUE TRUE TRUE
SCOBKEGAT ACCSUMMARYINCOME 29887 rows SCOBKEGAT ACCSUMMARYINCOME 29887 rows TRUE TRUE TRUE
SCOBKEGAT ASNREQSCHOOLDET 16485 rows SCOBKEGAT ASNREQSCHOOLDET 16485 rows TRUE TRUE TRUE
SCOBKEGAT BEM7879 25313 rows SCOBKEGAT BEM7879 25313 rows TRUE TRUE TRUE
SCOBKEGAT DEPTMASTER 16197 rows SCOBKEGAT DEPTMASTER 16197 rows TRUE TRUE TRUE
SCOBKEGAT DPCLOSEACCOMONTH 73 rows SCOBKEGAT DPCLOSEACCOMONTH 73 rows TRUE TRUE TRUE
SCOBKEGAT DPDEPTTYPEBALDAY 4 rows SCOBKEGAT DPDEPTTYPEBALDAY 4 rows TRUE TRUE TRUE
SCOBKEGAT DPREQCHGMONTHKEEP 32139 rows SCOBKEGAT DPREQCHGMONTHKEEP 32139 rows TRUE TRUE TRUE
SCOBKEGAT INSRECEIVEMONTHBF 78400 rows SCOBKEGAT INSRECEIVEMONTHBF 78400 rows TRUE TRUE TRUE
SCOBKEGAT KPRCVPAYTYPE 41909 rows SCOBKEGAT KPRCVPAYTYPE 41909 rows TRUE TRUE TRUE
SCOBKEGAT LNINTGUARANTEE 11448 rows SCOBKEGAT LNINTGUARANTEE 11448 rows TRUE TRUE TRUE
SCOBKEGAT LNREQCONTADJUST 23069 rows SCOBKEGAT LNREQCONTADJUST 23069 rows TRUE TRUE TRUE
SCOBKEGAT LNREQLOANSALARY 57854 rows SCOBKEGAT LNREQLOANSALARY 57854 rows TRUE TRUE TRUE
SCOBKEGAT MBAUDIT 37448 rows SCOBKEGAT MBAUDIT 37448 rows TRUE TRUE TRUE
SCOBKEGAT MBDIVESTIMATE 43576 rows SCOBKEGAT MBDIVESTIMATE 43576 rows TRUE TRUE TRUE
SCOBKEGAT MBDIVESTIMATE22 42408 rows SCOBKEGAT MBDIVESTIMATE22 42408 rows TRUE TRUE TRUE
SCOBKEGAT MBWEBCODE 51795 rows SCOBKEGAT MBWEBCODE 51795 rows TRUE TRUE TRUE
SCOBKEGAT TBL_BAG 33945 rows SCOBKEGAT TBL_BAG 33945 rows TRUE TRUE TRUE
SCOBKEGAT TBL_DATAMEM3 20348 rows SCOBKEGAT TBL_DATAMEM3 20348 rows TRUE TRUE TRUE
-- Confidential --
Page 9 of 39

