Page 202 - เอกสารตรวจรับระบบ dr site
P. 202
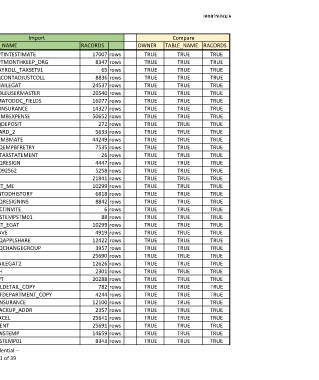
เอกสารแนบ 6
Export Import Compare
OWNER TABLE_NAME RACORDS OWNER TABLE_NAME RACORDS OWNER TABLE_NAME RACORDS
SCOBKEGAT DPDEPTINTESTIMATE 17007 rows SCOBKEGAT DPDEPTINTESTIMATE 17007 rows TRUE TRUE TRUE
SCOBKEGAT DPDEPTMONTHKEEP_ORG 8347 rows SCOBKEGAT DPDEPTMONTHKEEP_ORG 8347 rows TRUE TRUE TRUE
SCOBKEGAT HRNPAYROLL_TAXSET91 65 rows SCOBKEGAT HRNPAYROLL_TAXSET91 65 rows TRUE TRUE TRUE
SCOBKEGAT LNREQCONTADJUSTCOLL 8836 rows SCOBKEGAT LNREQCONTADJUSTCOLL 8836 rows TRUE TRUE TRUE
SCOBKEGAT TBL_MAILEGAT 24537 rows SCOBKEGAT TBL_MAILEGAT 24537 rows TRUE TRUE TRUE
SCOBKEGAT FINTABLEUSERMASTER 20540 rows SCOBKEGAT FINTABLEUSERMASTER 20540 rows TRUE TRUE TRUE
SCOBKEGAT SCHEMATODOC_FIELDS 16077 rows SCOBKEGAT SCHEMATODOC_FIELDS 16077 rows TRUE TRUE TRUE
SCOBKEGAT EMAILINSURANCE 14327 rows SCOBKEGAT EMAILINSURANCE 14327 rows TRUE TRUE TRUE
SCOBKEGAT MBMEMBEXPENSE 50652 rows SCOBKEGAT MBMEMBEXPENSE 50652 rows TRUE TRUE TRUE
SCOBKEGAT DPREQDEPOSIT 272 rows SCOBKEGAT DPREQDEPOSIT 272 rows TRUE TRUE TRUE
SCOBKEGAT TBL_CARD_2 5633 rows SCOBKEGAT TBL_CARD_2 5633 rows TRUE TRUE TRUE
SCOBKEGAT MBMEMBMATE 44249 rows SCOBKEGAT MBMEMBMATE 44249 rows TRUE TRUE TRUE
SCOBKEGAT MBREQEMPBFRETRY 7535 rows SCOBKEGAT MBREQEMPBFRETRY 7535 rows TRUE TRUE TRUE
SCOBKEGAT DPINTTAXSTATEMENT 26 rows SCOBKEGAT DPINTTAXSTATEMENT 26 rows TRUE TRUE TRUE
SCOBKEGAT MBREQRESIGN 4447 rows SCOBKEGAT MBREQRESIGN 4447 rows TRUE TRUE TRUE
SCOBKEGAT TBL02092562 5258 rows SCOBKEGAT TBL02092562 5258 rows TRUE TRUE TRUE
SCOBKEGAT AAAA 21841 rows SCOBKEGAT AAAA 21841 rows TRUE TRUE TRUE
SCOBKEGAT EXPORT_ME 10299 rows SCOBKEGAT EXPORT_ME 10299 rows TRUE TRUE TRUE
SCOBKEGAT LNCONTODHISTORY 6818 rows SCOBKEGAT LNCONTODHISTORY 6818 rows TRUE TRUE TRUE
SCOBKEGAT MBREQRESIGNINS 8842 rows SCOBKEGAT MBREQRESIGNINS 8842 rows TRUE TRUE TRUE
SCOBKEGAT PROJECTINVITE 6 rows SCOBKEGAT PROJECTINVITE 6 rows TRUE TRUE TRUE
SCOBKEGAT AA_INSTEMPSTM01 88 rows SCOBKEGAT AA_INSTEMPSTM01 88 rows TRUE TRUE TRUE
SCOBKEGAT EXPORT_EGAT 10299 rows SCOBKEGAT EXPORT_EGAT 10299 rows TRUE TRUE TRUE
SCOBKEGAT IVR_SAVE 4919 rows SCOBKEGAT IVR_SAVE 4919 rows TRUE TRUE TRUE
SCOBKEGAT MBREQAPPLSHARE 12422 rows SCOBKEGAT MBREQAPPLSHARE 12422 rows TRUE TRUE TRUE
SCOBKEGAT MBREQCHANGEGROUP 3957 rows SCOBKEGAT MBREQCHANGEGROUP 3957 rows TRUE TRUE TRUE
SCOBKEGAT TBL56 25690 rows SCOBKEGAT TBL56 25690 rows TRUE TRUE TRUE
SCOBKEGAT TBLMAILEGAT2 12626 rows SCOBKEGAT TBLMAILEGAT2 12626 rows TRUE TRUE TRUE
SCOBKEGAT TBLSCH 2301 rows SCOBKEGAT TBLSCH 2301 rows TRUE TRUE TRUE
SCOBKEGAT UPDEPT 20288 rows SCOBKEGAT UPDEPT 20288 rows TRUE TRUE TRUE
SCOBKEGAT LNCOLLDETAIL_COPY 782 rows SCOBKEGAT LNCOLLDETAIL_COPY 782 rows TRUE TRUE TRUE
SCOBKEGAT MBUCFDEPARTMENT_COPY 4244 rows SCOBKEGAT MBUCFDEPARTMENT_COPY 4244 rows TRUE TRUE TRUE
SCOBKEGAT SMS_INSURANCE 12100 rows SCOBKEGAT SMS_INSURANCE 12100 rows TRUE TRUE TRUE
SCOBKEGAT TBL_BACKUP_ADDR 2357 rows SCOBKEGAT TBL_BACKUP_ADDR 2357 rows TRUE TRUE TRUE
SCOBKEGAT TBL_EXCEL 25641 rows SCOBKEGAT TBL_EXCEL 25641 rows TRUE TRUE TRUE
SCOBKEGAT TBL_GENT 25691 rows SCOBKEGAT TBL_GENT 25691 rows TRUE TRUE TRUE
SCOBKEGAT AAA_INSTEMP 14659 rows SCOBKEGAT AAA_INSTEMP 14659 rows TRUE TRUE TRUE
SCOBKEGAT AA_INSTEMP01 8343 rows SCOBKEGAT AA_INSTEMP01 8343 rows TRUE TRUE TRUE
-- Confidential --
Page 11 of 39

