Page 205 - เอกสารตรวจรับระบบ dr site
P. 205
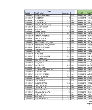
เอกสารแนบ 6
Export Import Compare
OWNER TABLE_NAME RACORDS OWNER TABLE_NAME RACORDS OWNER TABLE_NAME RACORDS
SCOBKEGAT PROJECTENROLLMENT 7 rows SCOBKEGAT PROJECTENROLLMENT 7 rows TRUE TRUE TRUE
SCOBKEGAT PROJECTSLIP 7 rows SCOBKEGAT PROJECTSLIP 7 rows TRUE TRUE TRUE
SCOBKEGAT RPMEMRETRY 1351 rows SCOBKEGAT RPMEMRETRY 1351 rows TRUE TRUE TRUE
SCOBKEGAT TBL02092562_2 1741 rows SCOBKEGAT TBL02092562_2 1741 rows TRUE TRUE TRUE
SCOBKEGAT AAA_INSGROUPDETAIL 822 rows SCOBKEGAT AAA_INSGROUPDETAIL 822 rows TRUE TRUE TRUE
SCOBKEGAT AAA_INSREC_COPY 7941 rows SCOBKEGAT AAA_INSREC_COPY 7941 rows TRUE TRUE TRUE
SCOBKEGAT ACCBUDGET 35 rows SCOBKEGAT ACCBUDGET 35 rows TRUE TRUE TRUE
SCOBKEGAT AGMEMBAGENT 558 rows SCOBKEGAT AGMEMBAGENT 558 rows TRUE TRUE TRUE
SCOBKEGAT ASNCHILDLISTS 2997 rows SCOBKEGAT ASNCHILDLISTS 2997 rows TRUE TRUE TRUE
SCOBKEGAT HISTORYSAVEPERSON 857 rows SCOBKEGAT HISTORYSAVEPERSON 857 rows TRUE TRUE TRUE
SCOBKEGAT HRNPAYROLL_SET 4180 rows SCOBKEGAT HRNPAYROLL_SET 4180 rows TRUE TRUE TRUE
SCOBKEGAT INSFAMILYDEAD 724 rows SCOBKEGAT INSFAMILYDEAD 724 rows TRUE TRUE TRUE
SCOBKEGAT INSGROUPMASTER_TEMP 1758 rows SCOBKEGAT INSGROUPMASTER_TEMP 1758 rows TRUE TRUE TRUE
SCOBKEGAT INSGROUPMASTER_TEMP07 387 rows SCOBKEGAT INSGROUPMASTER_TEMP07 387 rows TRUE TRUE TRUE
SCOBKEGAT MBREQRESIGNASSIST 4409 rows SCOBKEGAT MBREQRESIGNASSIST 4409 rows TRUE TRUE TRUE
SCOBKEGAT PIMRIM0101 8518 rows SCOBKEGAT PIMRIM0101 8518 rows TRUE TRUE TRUE
SCOBKEGAT TBLAAA 1361 rows SCOBKEGAT TBLAAA 1361 rows TRUE TRUE TRUE
SCOBKEGAT TBLTEMP01 1361 rows SCOBKEGAT TBLTEMP01 1361 rows TRUE TRUE TRUE
SCOBKEGAT TBL_CHECK_DATA001 4844 rows SCOBKEGAT TBL_CHECK_DATA001 4844 rows TRUE TRUE TRUE
SCOBKEGAT TBL_LOANMEMBER 512 rows SCOBKEGAT TBL_LOANMEMBER 512 rows TRUE TRUE TRUE
SCOBKEGAT AAA_INSGENSTMT 968 rows SCOBKEGAT AAA_INSGENSTMT 968 rows TRUE TRUE TRUE
SCOBKEGAT AAA_INSREC 142 rows SCOBKEGAT AAA_INSREC 142 rows TRUE TRUE TRUE
SCOBKEGAT AA_MBNAME 1617 rows SCOBKEGAT AA_MBNAME 1617 rows TRUE TRUE TRUE
SCOBKEGAT ACCDELSERIES 494 rows SCOBKEGAT ACCDELSERIES 494 rows TRUE TRUE TRUE
SCOBKEGAT ACCSHEETMONEYREPORT 314 rows SCOBKEGAT ACCSHEETMONEYREPORT 314 rows TRUE TRUE TRUE
SCOBKEGAT AMSECUSEAPPS 1271 rows SCOBKEGAT AMSECUSEAPPS 1271 rows TRUE TRUE TRUE
SCOBKEGAT ASNSCHOOLPROCESS 1194 rows SCOBKEGAT ASNSCHOOLPROCESS 1194 rows TRUE TRUE TRUE
SCOBKEGAT BUDGETDETAILREQ 1181 rows SCOBKEGAT BUDGETDETAILREQ 1181 rows TRUE TRUE TRUE
SCOBKEGAT CMAPVCANCEL 11 rows SCOBKEGAT CMAPVCANCEL 11 rows TRUE TRUE TRUE
SCOBKEGAT CMCLSLOGDAY 7 rows SCOBKEGAT CMCLSLOGDAY 7 rows TRUE TRUE TRUE
SCOBKEGAT CMCONFIRMWEB 2089 rows SCOBKEGAT CMCONFIRMWEB 2089 rows TRUE TRUE TRUE
SCOBKEGAT CMREPORTDETAIL 479 rows SCOBKEGAT CMREPORTDETAIL 479 rows TRUE TRUE TRUE
SCOBKEGAT CMUCFZIPCODE 1317 rows SCOBKEGAT CMUCFZIPCODE 1317 rows TRUE TRUE TRUE
SCOBKEGAT FINUCFITEMTYPE 1340 rows SCOBKEGAT FINUCFITEMTYPE 1340 rows TRUE TRUE TRUE
SCOBKEGAT HRNMLEMPLFILEMAS 96 rows SCOBKEGAT HRNMLEMPLFILEMAS 96 rows TRUE TRUE TRUE
SCOBKEGAT INSRECEIVEYEAR 2115 rows SCOBKEGAT INSRECEIVEYEAR 2115 rows TRUE TRUE TRUE
SCOBKEGAT INSSLIPPAYIN 675 rows SCOBKEGAT INSSLIPPAYIN 675 rows TRUE TRUE TRUE
SCOBKEGAT KPUCFKEEPORDER 267 rows SCOBKEGAT KPUCFKEEPORDER 267 rows TRUE TRUE TRUE
-- Confidential --
Page 13 of 39

