Page 200 - เอกสารตรวจรับระบบ dr site
P. 200
เอกสารแนบ 6
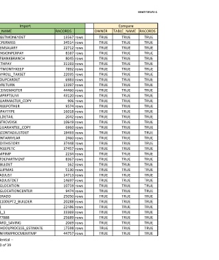
Export Import Compare
OWNER TABLE_NAME RACORDS OWNER TABLE_NAME RACORDS OWNER TABLE_NAME RACORDS
SCOBKEGAT ACCSHEETMONEYDET 13567 rows SCOBKEGAT ACCSHEETMONEYDET 13567 rows TRUE TRUE TRUE
SCOBKEGAT AMSECPERMISS 34514 rows SCOBKEGAT AMSECPERMISS 34514 rows TRUE TRUE TRUE
SCOBKEGAT ASNMEMSALARY 22712 rows SCOBKEGAT ASNMEMSALARY 22712 rows TRUE TRUE TRUE
SCOBKEGAT ASNPENSIONPERPAY 8587 rows SCOBKEGAT ASNPENSIONPERPAY 8587 rows TRUE TRUE TRUE
SCOBKEGAT CMUCFBANKBRANCH 8045 rows SCOBKEGAT CMUCFBANKBRANCH 8045 rows TRUE TRUE TRUE
SCOBKEGAT DIVMETHPAY 31193 rows SCOBKEGAT DIVMETHPAY 31193 rows TRUE TRUE TRUE
SCOBKEGAT DPDEPTMONTHKEEP 7892 rows SCOBKEGAT DPDEPTMONTHKEEP 7892 rows TRUE TRUE TRUE
SCOBKEGAT HRNPAYROLL_TAXSET 22035 rows SCOBKEGAT HRNPAYROLL_TAXSET 22035 rows TRUE TRUE TRUE
SCOBKEGAT INSGROUPCARDET 6983 rows SCOBKEGAT INSGROUPCARDET 6983 rows TRUE TRUE TRUE
SCOBKEGAT INSPAYRETURN 13397 rows SCOBKEGAT INSPAYRETURN 13397 rows TRUE TRUE TRUE
SCOBKEGAT INSRECEIVEMASTER 44460 rows SCOBKEGAT INSRECEIVEMASTER 44460 rows TRUE TRUE TRUE
SCOBKEGAT INSTEMPRPTSUM 43120 rows SCOBKEGAT INSTEMPRPTSUM 43120 rows TRUE TRUE TRUE
SCOBKEGAT KPARREARMASTER_COPY 906 rows SCOBKEGAT KPARREARMASTER_COPY 906 rows TRUE TRUE TRUE
SCOBKEGAT KPRCVKEEPOTHER 9574 rows SCOBKEGAT KPRCVKEEPOTHER 9574 rows TRUE TRUE TRUE
SCOBKEGAT KPREQPAYTYPE 16018 rows SCOBKEGAT KPREQPAYTYPE 16018 rows TRUE TRUE TRUE
SCOBKEGAT LNCOLLDETAIL 2042 rows SCOBKEGAT LNCOLLDETAIL 2042 rows TRUE TRUE TRUE
SCOBKEGAT LNCONTRCVDISK 10649 rows SCOBKEGAT LNCONTRCVDISK 10649 rows TRUE TRUE TRUE
SCOBKEGAT LNINTGUARANTEE_COPY 6960 rows SCOBKEGAT LNINTGUARANTEE_COPY 6960 rows TRUE TRUE TRUE
SCOBKEGAT LNREQCONTADJUSTDET 19493 rows SCOBKEGAT LNREQCONTADJUSTDET 19493 rows TRUE TRUE TRUE
SCOBKEGAT LNSETINTARRYEAR 2460 rows SCOBKEGAT LNSETINTARRYEAR 2460 rows TRUE TRUE TRUE
SCOBKEGAT MBAUDITHISTORY 37448 rows SCOBKEGAT MBAUDITHISTORY 37448 rows TRUE TRUE TRUE
SCOBKEGAT MBDIVKEEPETC 37457 rows SCOBKEGAT MBDIVKEEPETC 37457 rows TRUE TRUE TRUE
SCOBKEGAT MBTEMPIMP 2234 rows SCOBKEGAT MBTEMPIMP 2234 rows TRUE TRUE TRUE
SCOBKEGAT MBUCFDEPARTMENT 8367 rows SCOBKEGAT MBUCFDEPARTMENT 8367 rows TRUE TRUE TRUE
SCOBKEGAT PAYTABLEDET 162 rows SCOBKEGAT PAYTABLEDET 162 rows TRUE TRUE TRUE
SCOBKEGAT PTSLPSLIPMAS 5130 rows SCOBKEGAT PTSLPSLIPMAS 5130 rows TRUE TRUE TRUE
SCOBKEGAT SLSLIPADJUST 14713 rows SCOBKEGAT SLSLIPADJUST 14713 rows TRUE TRUE TRUE
SCOBKEGAT SLSLIPADJUSTDET 14697 rows SCOBKEGAT SLSLIPADJUSTDET 14697 rows TRUE TRUE TRUE
SCOBKEGAT TBLBAGLOCATION 10759 rows SCOBKEGAT TBLBAGLOCATION 10759 rows TRUE TRUE TRUE
SCOBKEGAT TBLBAGLOCATIONCENTER 9474 rows SCOBKEGAT TBLBAGLOCATIONCENTER 9474 rows TRUE TRUE TRUE
SCOBKEGAT TBLBEERADD 25050 rows SCOBKEGAT TBLBEERADD 25050 rows TRUE TRUE TRUE
SCOBKEGAT TBL_0110DEPT2_BUILDER 20288 rows SCOBKEGAT TBL_0110DEPT2_BUILDER 20288 rows TRUE TRUE TRUE
SCOBKEGAT TBL_71 22486 rows SCOBKEGAT TBL_71 22486 rows TRUE TRUE TRUE
SCOBKEGAT TBL_71_1 33369 rows SCOBKEGAT TBL_71_1 33369 rows TRUE TRUE TRUE
SCOBKEGAT TBL_777888 25689 rows SCOBKEGAT TBL_777888 25689 rows TRUE TRUE TRUE
SCOBKEGAT TBL_CARD_SAVING 2069 rows SCOBKEGAT TBL_CARD_SAVING 2069 rows TRUE TRUE TRUE
SCOBKEGAT ASNSCHOOLPROCESS_ESTIMATE 17598 rows SCOBKEGAT ASNSCHOOLPROCESS_ESTIMATE 17598 rows TRUE TRUE TRUE
SCOBKEGAT CMCONFIRMPROCMEMTMP 44757 rows SCOBKEGAT CMCONFIRMPROCMEMTMP 44757 rows TRUE TRUE TRUE
-- Confidential --
Page 10 of 39

