Page 132 - Pharm.Org.Chem-I 02-06-05-101
P. 132

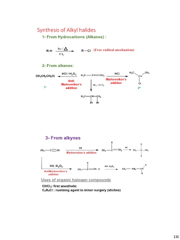
Synthesis of Alkyl halides

   1- From Hydrocarbons (Alkanes) :

2- From alkenes:

CH3CH2CH2Cl        Anti-    Markovnikov’s
        1o   Markovnikov’s      addition

                 addition                          2o

  3- From alkynes

Uses of organic halogen compounds

CHCl3: first anesthetic
C2H5Cl : numbing agent in minor surgery (stiches)

                                                       130
   127   128   129   130   131   132   133   134   135   136   137