Page 52 - Exlar - TRITEX 2 series fully integrated servo drive/motor/actuator
P. 52
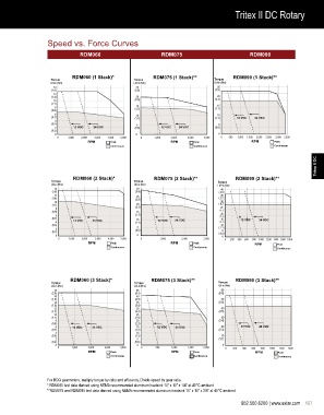
Tritex II DC Rotary
Speed vs. Force Curves
RDM060 RDM075 RDM090
RDM060 (1 Stack)* RDM075 (1 Stack)** RDM090 (1 Stack)**
Torque Torque Torque
Lbf-in (Nm) Lbf-in (Nm) Lbf-in (Nm)
14 25 25
(1.6) (2.8) (2.8)
12
(1.4) 20 20
10 (2.3) (2.3)
(1.1) 15
15
8 (1.7) (1.7)
(0.9)
6 10
10
(0.7) (1.1) (1.1) 12 VDC 24 VDC
4
(0.5) 5 5
2 12 VDC 24 VDC (0.6) 12 VDC 24 VDC (0.6)
(0.2)
0 0 0
0 1,000 2,000 3,000 4,000 5,000 0 1,000 2,000 3,000 4,000 0 500 1,000 1,500 2,000 2,500 3,000 3,500
RPM Peak RPM Peak RPM Peak
Continuous Continuous Continuous
Tritex II DC
RDM060 (2 Stack)* RDM075 (2 Stack)** RDM090 (2 Stack)**
Torque Torque Torque
Lbf-in (Nm) Lbf-in (Nm) Lbf-in (Nm)
14 30 40
(1.6) (3.4) 2.8
12 25 35
(1.4) (2.8) 2.3
10 30
20
(1.1) (2.3) 1.7
8 25
(0.9) 15 1.1
20
6 (1.7) 1.1
(0.7) 10 24 VDC 15 12 VDC 24 VDC
4 12 VDC 24 VDC (1.1) 12 VDC 1.1
(0.5) 10
5
2 (0.6) 1.1
(0.2) 0.6 5
0 0 0
0 1,000 2,000 3,000 4,000 5,000 0 1,000 2,000 3,000 0 200 400 600 800 1000 1200 1400 1600 1800
RPM Peak RPM Peak RPM Peak
Continuous Continuous Continuous
.
RDM060 (3 Stack)* RDM075 (3 Stack)** RDM090 (3 Stack)**
Torque Torque Torque
Lbf-in (Nm) Lbf-in (Nm) Lbf-in (Nm)
18 45 60
(2.0) (5.1) (6.8)
16 40
(1.8) (4.5) 50
14 35 (5.6)
(1.6) (3.9)
12 30 40
(1.4) (3.4) (4.5)
10 25
(1.1) (2.8) 30
8 20 (3.4)
(0.9) (2.3)
6 12 VDC 24 VDC 15 12 VDC 24 VDC 20 12 VDC 24 VDC
(0.7) (1.7) (2.3)
4 10
(0.5) (1.1) 10
2 5 (1.1)
(0.2) (0.6 )
0 0 0
0 1,000 2,000 3,000 4,000 0 500 1,000 1,500 2,000 0 200 400 600 800 1000 1200 1400
RPM Peak RPM Peak RPM Peak
Continuous Continuous Continuous
.
For RDG gearmotors, multiply torque by ratio and efficiency. Divide speed by gear ratio.
* RDM060 test data derived using NEMA recommended aluminum heatsink 10” x 10” x 1/4” at 40°C ambient
** RDM075 and RDM090 test data derived using NEMA recommended aluminum heatsink 10” x 10” x 3/8” at 40°C ambient
952.500.6200 | www.exlar.com 107

