Page 7 - BUKU KALIN (bismillah Fix)_Bab 1
P. 7

  
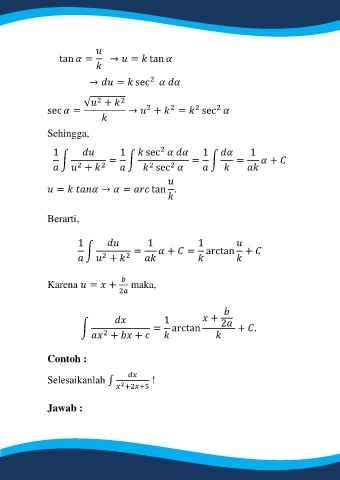
                   tan    =        →    =    tan   
                                
                             →      =    sec         
                                               2

                              2
                          √   +       2
                                                     2
                                                            2
                                              2
                                                                   2
               sec    =                 →    +    =    sec   
                                  
               Sehingga,
                                                  2
                 1                   1        sec              1             1
                    ∫             =     ∫                  =     ∫       =         +   
                                                     2
                                              2
                         2
                          +     2              sec                              
                                                      
                  =             →    =        tan .
                                                      

               Berarti,



                         1                    1              1             
                           ∫              =         +    =      arctan +   
                                2
                                 +     2                                   

                                        
               Karena    =    +          maka,
                                     2  


                                                                       
                                                   1             +  2  
                          ∫                     =    arctan              +   .
                                2
                                  +      +                           


               Contoh :

                                            
               Selesaikanlah ∫                 !
                                      2
                                       +2  +5

               Jawab :
   2   3   4   5   6   7   8   9   10   11   12