Page 115 - Perangkat Bhs. Inggris To'ib
P. 115
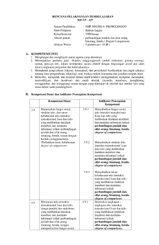
RENCANA PELAKSANAAN PEMBELAJARAN
KD 3.9 – 4.9
Satuan Pendidikan : SMP NEGERI 6 PROBOLINGGO
Mata Pelajaran : Bahasa Inggris
Kelas/Semester : VIII/Genap
Materi pokok : perbandingan jumlah dan sifat orang,
binatang, benda ( Degree Comparison)
Alokasi Waktu : 5 pertemuan ( 10 JP )
A. KOMPETENSI INTI
1. Menghargai dan menghayati ajaran agama yang dianutnya
2. Menunjukkan perilaku jujur, disiplin, tanggungjawab, peduli (toleransi, gotong royong),
santun, percaya diri, dalam berinteraksi secara efektif dengan lingkungan sosial dan alam
dalam jangkauan pergaulan dan keberadaannya
3. Memahami pengetahuan (faktual, konseptual, dan prosedural) berdasarkan rasa ingin tahunya
tentang ilmu pengetahuan, teknologi, seni, budaya terkait fenomena dan kejadian tampak mata
4. Mencoba, mengolah, dan menyaji dalam ranah konkret (menggunakan, mengurai, merangkai,
memodifikasi, dan membuat) dan ranah abstrak (menulis, membaca, menghitung,
menggambar, dan mengarang) sesuai dengan yang dipelajari di sekolah dan sumber lain yang
sama dalam sudut pandang/teori
B. Kompetensi Dasar dan Indikator Pencapaian Kompetensi
Kompetensi Dasar Indikator Pencapaian
Kompetensi
3.9 Menerapkan fungsi sosial, 3.9.1 Menyebutkan fungsi sosial
struktur teks, dan unsur teks interaksi transaksional
kebahasaan teks interaksi lisan dan tulis yang
transaksional lisan dan tulis melibatkan tindakan memberi
yang melibatkan tindakan dan meminta informasi terkait
memberi dan meminta perbandingan jumlah dan
informasi terkait perbandingan sifat orang, binatang, benda.
jumlah dan sifat orang, (degree of comparison)
binatang, benda, sesuai dengan
konteks penggunaannya
(Perhatikan unsur kebahasaan 3.9.2 Menyebutkan struktur teks
degree of comparison) interaksi transaksional lisan
dan tulis yang melibatkan
tindakan memberi dan
meminta informasi terkait
perbandingan jumlah dan
sifat orang, binatang, benda.
(degree of comparison)
3.9.3 Menyebutkan unsur
kebahasaan teks interaksi
transaksional lisan dan tulis
yang melibatkan tindakan
memberi dan meminta
informasi terkait
perbandingan jumlah dan
sifat orang, binatang, benda.
(degree of comparison)
4.9 Menyusun teks interaksi 4.9.1 Menirukan ungkapan -
transaksional lisan dan tulis ungkapan teks interaksi
sangat pendek dan sederhana transaksional lisan dan tulis
yang melibatkan tindakan yang melibatkan tindakan
memberi dan meminta memberi dan meminta
informasi terkait perbandingan informasi terkait
jumlah dan sifat orang, perbandingan jumlah dan
binatang, benda, dengan sifat orang, binatang, benda.
memperhatikan fungsi sosial, (degree of comparison).

