Page 5 - Actividad No. 1, Segunda Parte ER
P. 5
Introducción a las tecnologías para el control y la
automatización de procesos empresariales sostenibles
Ing. Alberto Tama Franco, MSc.
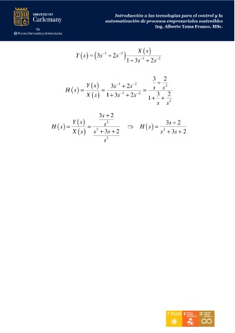
Y s = ( ) ( 3s + − 1 2s − 2 ) X ( ) s
1 3s + − 1 2s − 2
+
3 2
Y ( ) s 3s + 2s − 2 s + s 2
−
1
H ( ) s = = =
+
X ( ) s 1 3s + − 1 2s − 2 1+ 3 + 2
s s 2
3s + 2
Y ( ) s s 2 3s + 2
H ( ) s = = H ( ) s =
X ( ) s s + 2 3s + 2 s + 2 3s + 2
s 2

