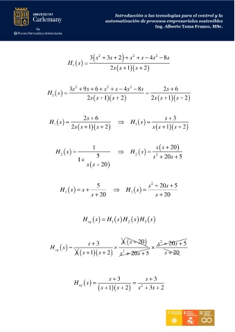
Page 8 - Actividad No. 1, Segunda Parte ER
P. 8
Introducción a las tecnologías para el control y la
automatización de procesos empresariales sostenibles
Ing. Alberto Tama Franco, MSc.
)
(
3 s + 3s + 2 + s + − 4s − 8s
2
2
2
s
H ( ) s =
1
2s (s + 1 )(s + ) 2
3s + 9s + + 2 s 4s − 8s 2s + 6
6 s + −
2
2
H ( ) s = =
1
2s (s + 1 )(s + ) 2 2s (s + 1 )(s + ) 2
2s + 6 s + 3
H ( ) s = H ( ) s =
1
2s (s + 1 )(s + ) 2 1 ( s s + 1 )(s + ) 2
1 ( s s + 20 )
H ( ) s = H ( ) s =
2 5 2 s + 2 20s + 5
1+
( s s + 20 )
5 s + 2 20s + 5
s
H 3 ( ) s = + s + 20 H 3 ( ) s = s + 20
( )
( )
H eq ( ) s = H 1 ( ) s H s H s
2
3
s + 3 s (s + 20 ) s + 2 20s + 5
H ( ) s =
eq
s (s + 1 )(s + ) 2 s + 2 20s + 5 s + 20
s + 3 s + 3
H ( ) s = =
eq
(s + 1 )(s + ) 2 s + 3s + 2
2

