Page 66 - e-book Calculcs I
P. 66
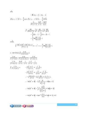
หรือ
1 ≡ A(x + 2) + B(x − 1)
1 1
เลือก x = 1 ได้ A = และ เลือก x = −2 ได้ B = − ดังนั้น
3 3
1 = 1/3 + −1/3
2
x + x − 2 x − 1 x+ 2
1 1
∫ = ∫ − ∫
2
x + x − 2 3 x − 1 3 x+ 2
1 1
= ln|x − 1| − ln|x + 2| + C
3 3
1 x − 1
= ln | |+ C
3 x + 2
ฉะนั้น
1
3
2
4
3
∫ 3x + 3x − 5x + x − 1 dx = x + x + ln | x − 1 |+ C
2
x + x − 2 3 x + 2
6. จงหาค่าของ ∫ 2−3x dx
2
3
x +x +4x+4
2−3x = 2−3x = 2−3x
2
2
2
3
x +x +4x+4 x +(x+1)+4(x+1) (x +4)(x+1)
2−3x = Ax+B + c = −x−2 + 1
2
2
2
(x +4)(x+1) (x +4) (x+1) (x +4) (x+1)
∫ 2−3x dx = ∫ ( −x−2 + 1 ) dx
3
2
2
x +x +4x+4 (x +4) (x+1)
= ∫ ( −x−2 + −2 + 1 ) dx
2
2
(x +4) (x +4) (x+1)
d(−x−2) dx 1
= − ∫ − 2 ∫ + ∫ dx
2
(x +4) (x +4) (x+1)
2
2
= −ln|x + 4| − 2 ∫ dx + ln|x + 1|
2
x
4( +1)
4
x
1
2
2
= −ln|x + 4| − ∫ 2d( ) + ln|x + 1|
2 x 2
(( )+1)
2
x
2
−1
= −ln|x + 4| − tan ( ) + ln|x + 1| + C
2
66

