Page 87 - e-book Calculcs I
P. 87
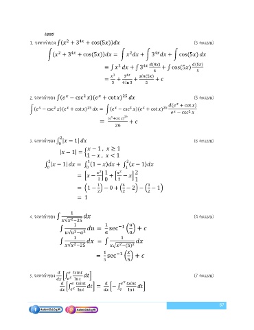
เฉลย
2
1. จงหาค่าของ ∫( + 3 4 + cos(5 )) (5 คะแนน)
2
2
4
∫( + 3 4 + cos(5 )) = ∫ + ∫ 3 + ∫ cos(5 )
2
= ∫ + ∫ 3 4 (4 ) + ∫ cos(5 ) (5 )
4 5
= 3 + 3 4 + (5 ) +
3 4 ln 3 5
2
2. จงหาค่าของ ∫( − csc )( + cot ) 25 (5 คะแนน)
( + cot )
2
2
∫( − csc )( + cot ) 25 = ∫( − csc )( + cot ) 25
2
− csc
= ( +cot ) 26 +
26
2
3. จงหาค่าของ ∫ | − 1| (6 คะแนน)
0
− 1 , ≥ 1
| − 1| = {
1 − , < 1
2 1 2
∫ | − 1| = ∫ (1 − ) + ∫ ( − 1)
0 0 1
1 2 2
2
= [ − ] + [ − ]
2 0 2 1
1
1
4
= (1 − ) − 0 + ( − 2) − ( − 1)
2 2 2
= 1
1
4. จงหาค่าของ ∫ (4 คะแนน)
2
√ −25
1
∫ 1 = sec −1 ( ) +
2
√ − 2
1 1
∫ = ∫
2
2
√ −25 √ −(5) 2
1
= sec −1 ( ) +
5 5
5. จงหาค่าของ [∫ ] (7 คะแนน)
ln
[∫ ] = [− ∫ ]
ln ln
87

