Page 41 - http://roychacon/lineamientos/idiomas/todo.asp
P. 41
Ministerio de Educación Nacional
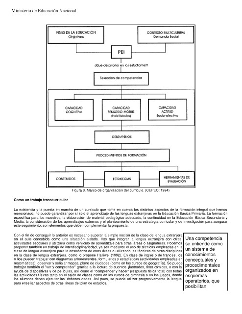
Figura 8. Marco de organización del currículo. (CEPEC: 1994)
Como un trabajo transcurricular
La existencia y la puesta en marcha de un currículo que tome en cuenta los distintos aspectos de la formación integral que hemos
mencionado, no puede garantizar por sí solo el aprendizaje de las lenguas extranjeras en la Educación Básica Primaria. La formación
específica para los maestros, la elaboración de material pedagógico adecuado, la continuidad en la Educación Básica Secundaria y
Media, la consideración de los aprendizajes externos y el planteamiento de una estrategia curricular y de investigación para asegurar
este seguimiento, son elementos que deben complementar la propuesta.
Con el fin de conseguir lo anterior es necesario superar la simple noción de la clase de lengua extranjera
en el aula concebida como una situación aislada. Hay que integrar la lengua extranjera con otras Una competencia
actividades escolares y utilizarla como veh ículo de aprendizaje para otras áreas o asignaturas. Podemos se entiende como
proponer también un trabajo de interdisciplinariedad, ya sea mediante el uso de técnicas empleadas en la un sistema de
clase de lengua extranjera para la enseñanza de otras áreas o utilizando las técnicas de otras disciplinas
en la clase de lengua extranjera, como lo propone Halliwel (1992). En clase de inglés o de francés, los conocimientos
niños pueden trabajar con diagramas arborescentes, formularios y estadísticas (actividades empleadas en conceptuales y
matemáticas), observar y señalar mapas, plano de ciudades (como en los cursos de geografía). Se puede
trabajar también el "ver y comprender" gracias a la lectura de cuentos ¡lustrados, tiras cómicas, o con la procedimentales
ayuda de diapositivas y de pel ículas, así como el "comprender y hacer" (respuesta física total) con todas organizados en
las actividades f ísicas tanto en el salón de clases como en los cursos de gimnasia o en los juegos, donde esquemas
los alumnos deben ejecutar las órdenes dadas. Así pues, se puede utilizar progresivamente la lengua operatorios, que
para enseñar aspectos de otras áreas del plan de estudios.
posibilitan

