Page 13 - BUKU KALIN (bismillah Fix)_Bab 4
P. 13
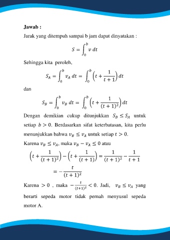
Jawab :
Jarak yang ditempuh sampai b jam dapat dinyatakan :
= ∫
0
Sehingga kita peroleh,
1
= ∫ = ∫ ( + )
0 0 + 1
dan
1
= ∫ = ∫ ( + 2 )
0 0 ( + 1)
Dengan demikian cukup ditunjukkan ≤ untuk
setiap > 0. Berdasarkan sifat keterbatasan, kita perlu
menunjukkan bahwa ≤ untuk setiap > 0.
Karena ≤ , maka − ≤ 0 atau
1 1 1 1
( + ) − ( + ) = −
( + 1) 2 ( + 1) ( + 1) 2 + 1
= −
( + 1) 2
Karena > 0 , maka − < 0. Jadi, ≤ yang
( +1) 2
berarti sepeda motor tidak pernah menyusul sepeda
motor A.

